【药物名称】Risarestat, CT-112
化学结构式(Chemical Structure):
参考文献No.164
标题:Thiazolidine derivs. and their production and use
作者:Kawamatsu, Y.; Yamamoto, Y. (Senju Pharmaceuticals Co., Ltd.; Takeda Chemical Industries, Ltd.)
来源:EP 0033617
合成路线图解说明:

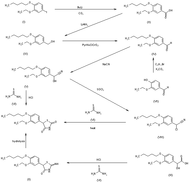
This compound can be obtained by three related ways: 1) The carboxylation of 3-ethoxy-4-pentyloxyiodobenzene (I) with CO2 and butyllithium in ether gives 3-ethoxy-4-pentyloxybenzoic acid (II), which is reduced with LiAlH4 in refluxing ether to yield the corresponding benzyl alcohol (III). The controlled oxidation of (III) with pyridinium chlorochromate in dichloromethane affords 3-ethoxy-4-pentyloxybenazldehyde (IV), which is treated wtih NaCN and acetic acid - water giving 2-(3-ethoxy-4-pentyloxyphenyl)-2-hydroxyacetonitrile (V). Finally, this compound is cyclized with thiourea (VI) and HCl in 2-methoxyethanol. 2) The alkylation of ethyl-vanilline (VII) with c and K2CO3 in hot DMF gives aldehyde (IV), which by reaction with NaCH in methanol - HCl yields the cyanohydrine (V). The reaction of (V) with SOCl2 in refluxing CHCl3 affords 2-chloro-2-(3-ethoxy-5-pentyloxyphenyl)acetonitrile (VIII), which is finally cyclized with thiourea (VI) in ethylene glycol monomethyl ether - HCl at 110 C in refluxing ethanol - HCl. 3) The cyclization of 2-(3-ethoxy-4-pentyloxyphenyl)-2-hydroxyacetic acid (IX) with thiourea (VI) under acidic conditions gives 5-(3-ethoxy-4-pentyloxyphenyl)-2-iminothiazolidin-4-one (X), which is then hydrolyzed to the desired product.

参考文献No.165
标题:Ophthalmic topical agent for remedy of diseases of iris and ciliary body
作者:Awata, T.; Maenaka, T.; Kawamatsu, Y. (Senju Pharmaceuticals Co., Ltd.)
来源:EP 0170237; JP 1986043114; US 4602026
合成路线图解说明:

This compound can be obtained by three related ways: 1) The carboxylation of 3-ethoxy-4-pentyloxyiodobenzene (I) with CO2 and butyllithium in ether gives 3-ethoxy-4-pentyloxybenzoic acid (II), which is reduced with LiAlH4 in refluxing ether to yield the corresponding benzyl alcohol (III). The controlled oxidation of (III) with pyridinium chlorochromate in dichloromethane affords 3-ethoxy-4-pentyloxybenazldehyde (IV), which is treated wtih NaCN and acetic acid - water giving 2-(3-ethoxy-4-pentyloxyphenyl)-2-hydroxyacetonitrile (V). Finally, this compound is cyclized with thiourea (VI) and HCl in 2-methoxyethanol. 2) The alkylation of ethyl-vanilline (VII) with c and K2CO3 in hot DMF gives aldehyde (IV), which by reaction with NaCH in methanol - HCl yields the cyanohydrine (V). The reaction of (V) with SOCl2 in refluxing CHCl3 affords 2-chloro-2-(3-ethoxy-5-pentyloxyphenyl)acetonitrile (VIII), which is finally cyclized with thiourea (VI) in ethylene glycol monomethyl ether - HCl at 110 C in refluxing ethanol - HCl. 3) The cyclization of 2-(3-ethoxy-4-pentyloxyphenyl)-2-hydroxyacetic acid (IX) with thiourea (VI) under acidic conditions gives 5-(3-ethoxy-4-pentyloxyphenyl)-2-iminothiazolidin-4-one (X), which is then hydrolyzed to the desired product.

参考文献No.151501
标题:CT-112
作者:Prous, J.; Casta馿r, J.
来源:Drugs Fut 1991,16(10),895
合成路线图解说明:

This compound can be obtained by three related ways: 1) The carboxylation of 3-ethoxy-4-pentyloxyiodobenzene (I) with CO2 and butyllithium in ether gives 3-ethoxy-4-pentyloxybenzoic acid (II), which is reduced with LiAlH4 in refluxing ether to yield the corresponding benzyl alcohol (III). The controlled oxidation of (III) with pyridinium chlorochromate in dichloromethane affords 3-ethoxy-4-pentyloxybenazldehyde (IV), which is treated wtih NaCN and acetic acid - water giving 2-(3-ethoxy-4-pentyloxyphenyl)-2-hydroxyacetonitrile (V). Finally, this compound is cyclized with thiourea (VI) and HCl in 2-methoxyethanol. 2) The alkylation of ethyl-vanilline (VII) with c and K2CO3 in hot DMF gives aldehyde (IV), which by reaction with NaCH in methanol - HCl yields the cyanohydrine (V). The reaction of (V) with SOCl2 in refluxing CHCl3 affords 2-chloro-2-(3-ethoxy-5-pentyloxyphenyl)acetonitrile (VIII), which is finally cyclized with thiourea (VI) in ethylene glycol monomethyl ether - HCl at 110 C in refluxing ethanol - HCl. 3) The cyclization of 2-(3-ethoxy-4-pentyloxyphenyl)-2-hydroxyacetic acid (IX) with thiourea (VI) under acidic conditions gives 5-(3-ethoxy-4-pentyloxyphenyl)-2-iminothiazolidin-4-one (X), which is then hydrolyzed to the desired product.

参考文献No.157755
标题:Synthesis of 5-(3-ethoxy-4-pentyloxyphenyl)-2,4-[5-14C]thiazolidinedione ([14C]CT-112)
作者:Imanishi, M.; Imamiya, E.; Kawamatsu, Y.; Hayashi, N.
来源:J Takeda Res Lab 1983,42(3/4),238-40
合成路线图解说明:

This compound can be obtained by three related ways: 1) The carboxylation of 3-ethoxy-4-pentyloxyiodobenzene (I) with CO2 and butyllithium in ether gives 3-ethoxy-4-pentyloxybenzoic acid (II), which is reduced with LiAlH4 in refluxing ether to yield the corresponding benzyl alcohol (III). The controlled oxidation of (III) with pyridinium chlorochromate in dichloromethane affords 3-ethoxy-4-pentyloxybenazldehyde (IV), which is treated wtih NaCN and acetic acid - water giving 2-(3-ethoxy-4-pentyloxyphenyl)-2-hydroxyacetonitrile (V). Finally, this compound is cyclized with thiourea (VI) and HCl in 2-methoxyethanol. 2) The alkylation of ethyl-vanilline (VII) with c and K2CO3 in hot DMF gives aldehyde (IV), which by reaction with NaCH in methanol - HCl yields the cyanohydrine (V). The reaction of (V) with SOCl2 in refluxing CHCl3 affords 2-chloro-2-(3-ethoxy-5-pentyloxyphenyl)acetonitrile (VIII), which is finally cyclized with thiourea (VI) in ethylene glycol monomethyl ether - HCl at 110 C in refluxing ethanol - HCl. 3) The cyclization of 2-(3-ethoxy-4-pentyloxyphenyl)-2-hydroxyacetic acid (IX) with thiourea (VI) under acidic conditions gives 5-(3-ethoxy-4-pentyloxyphenyl)-2-iminothiazolidin-4-one (X), which is then hydrolyzed to the desired product.

参考文献No.157756
标题:Studies on antidiabetic agents. III. 5-Arylthiazolidine-2,4-diones as potent aldose reductase inhibitors
作者:Tawada, H.; Mizuno, K.; Meguro, K.; Sohda, T.; Imamiya, E.; Kawamatsu, Y.; Yamamoto, Y.
来源:Chem Pharm Bull 1982,30(10),3601-16
合成路线图解说明:

This compound can be obtained by three related ways: 1) The carboxylation of 3-ethoxy-4-pentyloxyiodobenzene (I) with CO2 and butyllithium in ether gives 3-ethoxy-4-pentyloxybenzoic acid (II), which is reduced with LiAlH4 in refluxing ether to yield the corresponding benzyl alcohol (III). The controlled oxidation of (III) with pyridinium chlorochromate in dichloromethane affords 3-ethoxy-4-pentyloxybenazldehyde (IV), which is treated wtih NaCN and acetic acid - water giving 2-(3-ethoxy-4-pentyloxyphenyl)-2-hydroxyacetonitrile (V). Finally, this compound is cyclized with thiourea (VI) and HCl in 2-methoxyethanol. 2) The alkylation of ethyl-vanilline (VII) with c and K2CO3 in hot DMF gives aldehyde (IV), which by reaction with NaCH in methanol - HCl yields the cyanohydrine (V). The reaction of (V) with SOCl2 in refluxing CHCl3 affords 2-chloro-2-(3-ethoxy-5-pentyloxyphenyl)acetonitrile (VIII), which is finally cyclized with thiourea (VI) in ethylene glycol monomethyl ether - HCl at 110 C in refluxing ethanol - HCl. 3) The cyclization of 2-(3-ethoxy-4-pentyloxyphenyl)-2-hydroxyacetic acid (IX) with thiourea (VI) under acidic conditions gives 5-(3-ethoxy-4-pentyloxyphenyl)-2-iminothiazolidin-4-one (X), which is then hydrolyzed to the desired product.

Drug Information Express,Drug R&D,Chemical Database,Patent Search.
Copyright © 2006-2026 Drug Future. All rights reserved.Contact Us