【药物名称】Ropinirole hydrochloride, SK&F-101468A, ReQuip
化学结构式(Chemical Structure):
参考文献No.144
标题:4-Aminoalkyl-2(3H)-indolones
作者:Gallagher, G. Jr. (SmithKline Beecham Corp.)
来源:EP 0113964; ES 8600239; ES 8604143; US 4452808
合成路线图解说明:

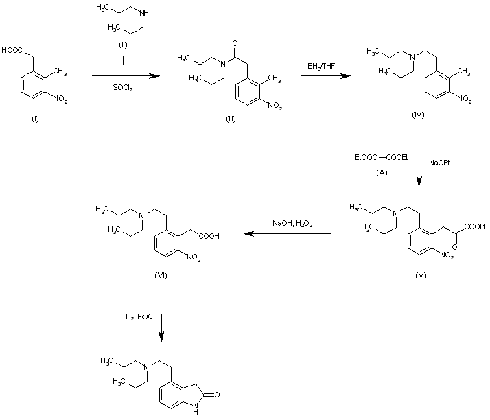
The condensation of 2-(2-methyl-3-nitrophenyl)acetic acid (I) with dipropylamine (II) by means of refluxing SOCl2 gives the corresponding amide (III), which is reduced with borane/THF yielding the tertiary amine (IV). The condensation of (IV) with diethyl oxalate by means of sodium ethoxide in refluxing ethanol affords the pyruvate ester (V), which is treated with NaOH and H2O2 yielding the acetic acid derivative (VI). Finally, this compound is cyclyzed by hydrogenation with H2 over Pd/C in ethanol.

参考文献No.567261
标题:Development of large-scale syntheses or ropinirole in the pursuit of a manufacturing process
作者:Hayler, J.D.; et al.
来源:Org Process Res Dev 1998,2(1),3
合成路线图解说明:

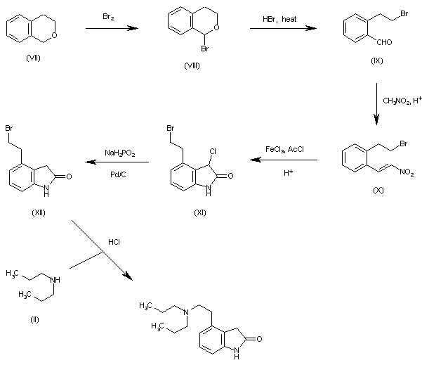
The bromination of 3,4-dihydro-1H-2-benzopyran (VII) with Br2 gives the 1-bromo derivative (VIII), which, without isolation, is treated with hot HBr yielding 2-(2-bromoethyl)benzaldehyde (IX). The condensation of (IX) with nitromethane in acidic medium affords the nitrostyrene (X), which is cyclized with treatment with FeCl3 and acetyl chloride giving 4-(2-bromoethyl)-3-chloroindolin-2-one (XI). The dechlorination of (XI) with NaH2PO2 over Pd/C yields 4-(2-bromoethyl)indolin-2-one (XII), which is finally condensed with dipropylamine (II).

合成路线图解说明:

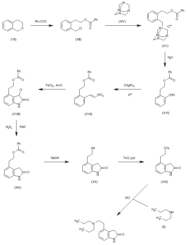
The reaction of 3,4-dihydro-1H-2-benzopyran (VII) with benzoyl chloride and ZnCl2 gives benzoic acid 2-[2-(chloromethyl)phenyl]ethyl ester (XIII), which is condensed with hexamethylenetetramine (XIV) yielding the amminium salt (XV). The hydrolysis of (XV) affords 2-(2-benzoyloxyethyl) benzaldehyde (XVI), which is condensed with nitromethane as before to give the nitrostyrene (XVII). The cyclization of (XVII) with FeCl3 and acetyl chloride as before yields 4-(2-benzoyloxyethyl)-3-chloroindolin-2-one (XVIII), which is dechlorinated with hydrazine and Pd/C to the indolinone (XIX). The hydrolysis of (XIX) with NaOH affords 4-(2-hydroxyethyl)indolin-2-one (XX), which is acylated with TsCl giving the tosylate (XXI). Finally, this compound is condensed with dipropylamine (II).

Drug Information Express,Drug R&D,Chemical Database,Patent Search.
Copyright © 2006-2026 Drug Future. All rights reserved.Contact Us