【药物名称】Motapizone, NAT-5239
化学结构式(Chemical Structure):
参考文献No.131
标题:Imidazolylalkylthienyl tetrahydropyridazines and processes for their use
作者:Borbe, H.; Doppelfeld, I.-S.; Hilboll, G.; L鰄r, J.P.; Prop, G. (A. Nattermann & Cie. GmbH)
来源:DE 3241102; EP 0112987; US 4644998
合成路线图解说明:

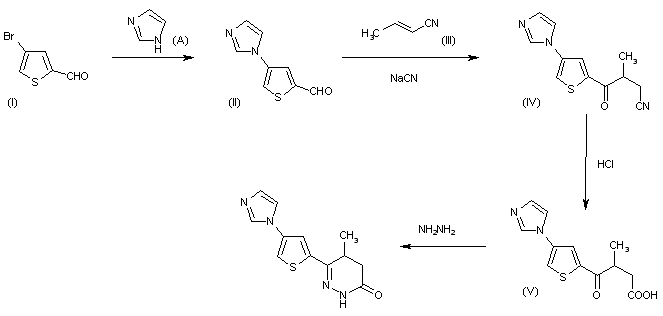
The reaction of 4-bromo-2-thiophienecarboxaldehyde (I) with imidazole yields 4-(1H-imidazol-1-yl)-2 thiophenecarboxaldehyde (II), which by cyanide-catalyzed conjugate addition to 2-butenenitrile (III) in DMF is converted to 4-[4-(1H-imidazol-1-yl)-2-thienyl]-3-methyl-4-oxobutyronitrile (IV). Hydrolysis of (IV) in refluxing 4N HCl gives 4-[4-(1H imidazol-1-yl)-2-thienyl-4 oxobutanoic acid (V), which is finally cyclized with hydrazine in refluxing water to afford motapizone.

参考文献No.49728
标题:Motapizone
作者:Prop, G.; Hilboll, G.; Borbe, H.O.
来源:Drugs Fut 1986,11(1),24
合成路线图解说明:

The reaction of 4-bromo-2-thiophienecarboxaldehyde (I) with imidazole yields 4-(1H-imidazol-1-yl)-2 thiophenecarboxaldehyde (II), which by cyanide-catalyzed conjugate addition to 2-butenenitrile (III) in DMF is converted to 4-[4-(1H-imidazol-1-yl)-2-thienyl]-3-methyl-4-oxobutyronitrile (IV). Hydrolysis of (IV) in refluxing 4N HCl gives 4-[4-(1H imidazol-1-yl)-2-thienyl-4 oxobutanoic acid (V), which is finally cyclized with hydrazine in refluxing water to afford motapizone.

Drug Information Express,Drug R&D,Chemical Database,Patent Search.
Copyright © 2006-2026 Drug Future. All rights reserved.Contact Us