【药物名称】Methylprednisolone aceponate, SH-440, ZK-91588, Adventan, Advantan
化学结构式(Chemical Structure):
参考文献No.128
标题:New 6alpha-methylprednisolone derivs. their preparation and use
作者:Annen, K.; Petzoldt, K.; Laurent, H.; Wiechert, R.; Hofmeister, H.; Wendt, H. (Schering AG)
来源:EP 0072547
合成路线图解说明:

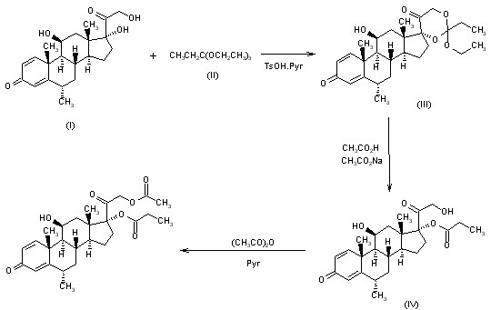
The esterification of 11beta,17alpha,21-trihydroxy-6alpha-methylpregna-1,4-diene-3,20-dione (I) with triethyl orthopropionate (II) by means of pyridinium tosylate in DMF - benzene gives the corresponding cyclic diester (III), which is partially hydrolyzed with acetic acid - sodium acetate in methanol - water, yielding the 17alpha-propionyloxy derivative (IV). Finally, this compound is acetylated with acetic anhydride and pyridine.

参考文献No.199191
标题:Methylprednisolone Aceponate
作者:Prous, J.; Casta馿r, J.
来源:Drugs Fut 1993,18(2),130
合成路线图解说明:

The esterification of 11beta,17alpha,21-trihydroxy-6alpha-methylpregna-1,4-diene-3,20-dione (I) with triethyl orthopropionate (II) by means of pyridinium tosylate in DMF - benzene gives the corresponding cyclic diester (III), which is partially hydrolyzed with acetic acid - sodium acetate in methanol - water, yielding the 17alpha-propionyloxy derivative (IV). Finally, this compound is acetylated with acetic anhydride and pyridine.

参考文献No.200867
标题:Studies on topical antiinflammatory corticosteroids. I. Syntheses and vasoconstrictive activities of 11beta,17alpha,21-trihydroxy-6alpha-methyl-1,4-pregnadiene-3,20-dione 17-ester and 17,21-diester derivatives
作者:Sugai, S.; Okazaki, T.; Kajiwara, Y.; Kanbara, T.; Naito, Y.; Yoshida, S.; Akaboshi, S.; Ikegami, S.; Kamano, Y.
来源:Chem Pharm Bull 1985,33(5),1889
合成路线图解说明:

The esterification of 11beta,17alpha,21-trihydroxy-6alpha-methylpregna-1,4-diene-3,20-dione (I) with triethyl orthopropionate (II) by means of pyridinium tosylate in DMF - benzene gives the corresponding cyclic diester (III), which is partially hydrolyzed with acetic acid - sodium acetate in methanol - water, yielding the 17alpha-propionyloxy derivative (IV). Finally, this compound is acetylated with acetic anhydride and pyridine.

Drug Information Express,Drug R&D,Chemical Database,Patent Search.
Copyright © 2006-2026 Drug Future. All rights reserved.Contact Us