【药物名称】Lotrifen, L-12717, DL-717IT, Privaprol, Canocenta
化学结构式(Chemical Structure):
参考文献No.122
标题:2-Substd. phenyl-5-triazols[5,1-a]isoquinoline cpds
作者:Consonni, P.; Lerner, L.; Omodei-Sal? A. (Lepetit SpA)
来源:US 4075341
合成路线图解说明:

By cyclization of 2-amino-3,4-dihydro-1(2H)-isoquinolinone (I) with m-ethoxybenzimidic acid ethyl ester (II) at 125 C.

合成路线图解说明:

The cyclization of 2-amino-3,4-dihydro-1(2H)-isoquinolinone (I) with ethyl 4-chlorobenzimidate (II) by heating at 125 C under vacuum gives 2-(4-chloro-phenyl)-5,6-dihydro-s-triazolo[5,1-a]isoquinoline (III), which is dehydrogenated by means of N-bromoacetamide in refluxing CCl4.

参考文献No.123
标题:S-triazolo[5,1-a]isochinolin derivate
作者:Omodai-Sale, A.; Consonni, P.; Lerner, L. (Lepetit SpA)
来源:DE 2707272; NL 7704940
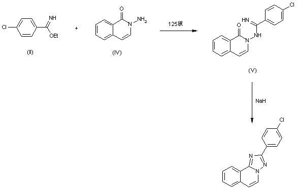
合成路线图解说明:

The condensation of 2-amino-1(2H)-isoquinolinone (IV) with imidate (II) by heating at 125 C as before gives 2-(4-cholorobenzimidoylamino)-1(2H)-isoquinolinone (V), which is cyclized by means of NaH in ethoxyethanol.

参考文献No.125
标题:Triazolo[5,1-a]isoquinoline deriv
作者:Omodei-Sale, A.; Favara, D. (Lepetit SpA)
来源:DE 2942195; FR 2440369
合成路线图解说明:

By cyclization of isoquinolinone (IV) with 4-chlorobenzonitrile (VI) by means of sodium ethoxide in refluxing ethanol.

参考文献No.49722
标题:Lotrifen
作者:de Angelis, L.; Casta馿r, J.
来源:Drugs Fut 1985,10(10),817
合成路线图解说明:

The cyclization of 2-amino-3,4-dihydro-1(2H)-isoquinolinone (I) with ethyl 4-chlorobenzimidate (II) by heating at 125 C under vacuum gives 2-(4-chloro-phenyl)-5,6-dihydro-s-triazolo[5,1-a]isoquinoline (III), which is dehydrogenated by means of N-bromoacetamide in refluxing CCl4.

合成路线图解说明:

By cyclization of isoquinolinone (IV) with 4-chlorobenzonitrile (VI) by means of sodium ethoxide in refluxing ethanol.

合成路线图解说明:

The condensation of 2-amino-1(2H)-isoquinolinone (IV) with imidate (II) by heating at 125 C as before gives 2-(4-cholorobenzimidoylamino)-1(2H)-isoquinolinone (V), which is cyclized by means of NaH in ethoxyethanol.

Drug Information Express,Drug R&D,Chemical Database,Patent Search.
Copyright © 2006-2026 Drug Future. All rights reserved.Contact Us