【药物名称】Lamotrigine, BW-430C, Labileno, Lamictal
化学结构式(Chemical Structure):
参考文献No.121
标题:1,2,4-Triazine derivs., process for preparing such cpds., pharmaceutical compsns. and intermediates utilized for this process
作者:Baxter, M.G.; Elphick, A.R.; Miller, A.A.; Sawyer, D.A. (Glaxo Wellcome plc)
来源:CA 1133938; EP 0021121
合成路线图解说明:

This compound can be obtained by two related ways: 1) By cyclization of ethyl 6-chlorocoumarin-3-carboxylate (I) and N-methyl-4-piperiodone (II) by means of sodium acetate in refluxing ethanol, followed by a treatment with refluxing concentrated hydrochloric acid. 2) The cyclization of (I) and (II) by means of ammonium acetate in refluxing ethanol, followed by a treatment with cool concentrated hydrochloric acid gives the lactam od the ethyl monoester of 4a-amino-8-chloro-2-methyl-1,2,3,4,4a,10a-hexahydro(10H)-benzopyrano[3,2-c]pyrid-10-ylmalonic acid (III), which is hydrolyzed with KOH in refluxing ethanol-water to give the corresponding free acid (IV). Finally, this compound is decarboxylated by a treatment with NaHCO3 in refluxing water.

合成路线图解说明:

The Grignard condensation of 2,3-dichloroiodobenzene (I) with CO2 by means of Mg / ether gives 2,3-dichlorobenzoic acid (II), which is converted to the corresponding acyl chloride (III) by refluxing with SOCl2.The reaction of (III) with cuprous cyanide and KI in refluxing xylene yields 2,3-dichlorobenzoyl cyanide (IV). Finally, this compound is cyclized with aminoguanidine (V) in DMSO.

参考文献No.49720
标题:Lamotrigine
作者:Casta馿r, J.; Prous, J.
来源:Drugs Fut 1986,11(6),456
合成路线图解说明:

The Grignard condensation of 2,3-dichloroiodobenzene (I) with CO2 by means of Mg / ether gives 2,3-dichlorobenzoic acid (II), which is converted to the corresponding acyl chloride (III) by refluxing with SOCl2.The reaction of (III) with cuprous cyanide and KI in refluxing xylene yields 2,3-dichlorobenzoyl cyanide (IV). Finally, this compound is cyclized with aminoguanidine (V) in DMSO.

参考文献No.54406
标题:Process for preparing substd. benzoyl cyanide amidinohydrazones
作者:Nadaka, V.; Lexner, J.; Kaspi, J. (Chemagis Ltd.)
来源:EP 1127873
合成路线图解说明:

Condensation of 2,3-dichlorobenzoyl cyanide (I) with aminoguanidine (II) by means of PPA in hot acetonitrile yields 2,3-dichlorobenzoyl cyanide amidinohydrazone (III), which is cyclized to the target 1,2,4-triazine by heating in refluxing propanol with or without DMSO.

参考文献No.54407
标题:A process for the preparation of 6-(2,3-dichlorophenyl)-1,2,4-triazine-3,5-diamine, commonly known as lamotrigine
作者:Srivastava, A.R.; Sasikumar, T.M.; Radhakrishnan, T.V. (RPG Life Sciences Ltd)
来源:WO 0149669
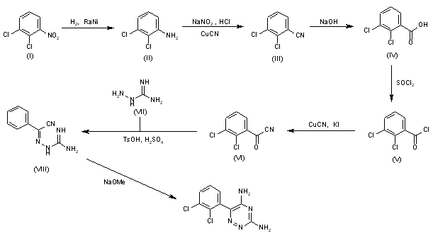
合成路线图解说明:

Hydrogenation of 2,3-dichloronitrobenzene (I) with H2 over Ra-Ni in methanol gives 2,3-dichloroaniline (II), which is diazotized with NaNO2 and HCl and treated with CuCN to yield 2,3-dichlorobenzonitrile (III). Hydrolysis of the nitrile (III) with NaOH in refluxing methanol/water affords 2,3-dichlorobenzoic acid (IV), which is treated with hot SOCl2 to provide the corresponding acyl chloride (V). Reaction of (V) with CuCN and KI in refluxing chlorobenzene gives 2,3-dichlorobenzoyl cyanide (VI), which is condensed with aminoguanidine (VII) by means of H2SO4/TsOH in hot toluene to yield 2,3-dichlorobenzoyl cyanide amidinohydrazone (VIII). Finally, this compound is cyclized by treatment with NaOMe in refluxing methanol.

参考文献No.689811
标题:Synthesis of stable isotopically labelled versions of lamotrigine and its methylated metabolite
作者:Manning, C.O.; et al.
来源:J Label Compd Radiopharm 2002,45(7),611
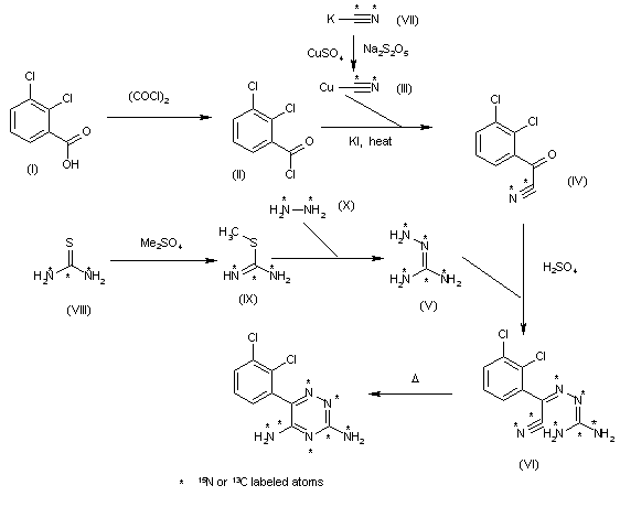
合成路线图解说明:

The reaction of 2,3-dichlorobenzoic acid (I) with oxalyl chloride in dichloromethane gives the acyl chloride (II), which is condensed with labeled copper cyanide (III) by means of KI in refluxing xylene to yield the 2,3-dichlorobenzoyl cyanide (IV). The condensation of (IV) with labeled aminoguanidine (V) by means of sulfuric acid in acetonitrile/water affords adduct (VI), which is finally cyclized by refluxing under the conditions of the preceding reaction to provide the target labeled diaminotriazine. The intermediate labeled copper cyanide (III) has been obtained by reaction of CuSO4 with labeled potassium cyanide (VII) and Na2S2O5 in hot water. The intermediate labeled aminoguanidine (V) has been obtained by methylation of thiourea (VIII) with dimethyl sulfate in boiling water to give S-methylisothiourea (IX), which is finally treated with hydrazine (X) and NaOH in water.

Drug Information Express,Drug R&D,Chemical Database,Patent Search.
Copyright © 2006-2026 Drug Future. All rights reserved.Contact Us