【药物名称】Etomoxir, B-8910-02(Na salt), B-877-44, B-80754(racemate), B-82733(racemate, Na salt), B-83721(racemate, free acid)
化学结构式(Chemical Structure):
参考文献No.115
标题:Phenoxyalkoxyalkyl- and phenoxyalkyl-substd. oxiranecarboxylic acids, their use and medicaments containing them
作者:Eistetter, K.; Ludwig, G.; Rapp, E.; Wolf, H. (Byk Gulden Lomberg Chemische Fabrik GmbH)
来源:EP 0046590; US 4337267
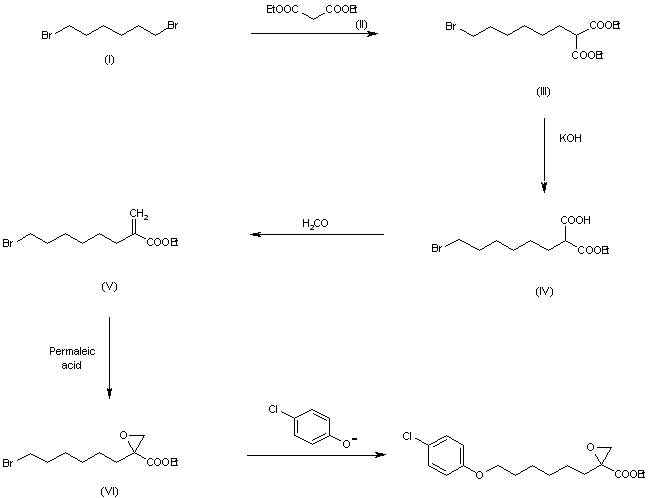
合成路线图解说明:

1) Alkylation of diethyl malonate (II) with 1 6-dibromohexane (I) results in diethyl 6-bromohexylmaionate (III). Compound (II) is hydrolyzed to the monoester (IV), followed by condensation with paraformaldehyde in ethanol/piperidine/2-methylquinoline to yield ethyl 8-bromo-2-methyleneoctanoate (V), which is oxidized with permaleic acid to (VI). Subsequent reaction with 4-chlorophenolate produces etomoxir.

合成路线图解说明:

2) Alternatively, etomoxir can be prepared as follows: Alkylation of 4-chlorophenol with 1,6-dibromohexane (I) yields 1 bromo-6-(4-chlorophenoxy)hexane (VII). Diethyl malonate (II) is alkylated by (VII), yielding (VIII), followed by hydrolysis to the monoester (IX), which is condensed with para formaldehyde/pyridine/piperidine to give ethyl 8-(4-chlorophenoxy)-2-methyleneoctanoate (IX). Oxidation with m-chloroperbenzoic acid produces etomoxir.

参考文献No.49716
标题:ETOMOXIR
作者:Eistetter, K.; Wolf, H.P.O.
来源:Drugs Fut 1986,11(12),1034
合成路线图解说明:

1) Alkylation of diethyl malonate (II) with 1 6-dibromohexane (I) results in diethyl 6-bromohexylmaionate (III). Compound (II) is hydrolyzed to the monoester (IV), followed by condensation with paraformaldehyde in ethanol/piperidine/2-methylquinoline to yield ethyl 8-bromo-2-methyleneoctanoate (V), which is oxidized with permaleic acid to (VI). Subsequent reaction with 4-chlorophenolate produces etomoxir.

合成路线图解说明:

2) Alternatively, etomoxir can be prepared as follows: Alkylation of 4-chlorophenol with 1,6-dibromohexane (I) yields 1 bromo-6-(4-chlorophenoxy)hexane (VII). Diethyl malonate (II) is alkylated by (VII), yielding (VIII), followed by hydrolysis to the monoester (IX), which is condensed with para formaldehyde/pyridine/piperidine to give ethyl 8-(4-chlorophenoxy)-2-methyleneoctanoate (IX). Oxidation with m-chloroperbenzoic acid produces etomoxir.

Drug Information Express,Drug R&D,Chemical Database,Patent Search.
Copyright © 2006-2026 Drug Future. All rights reserved.Contact Us