【药物名称】Droxicam, E-3128, Drogelon, Ferpan, Ombolan
化学结构式(Chemical Structure):
参考文献No.45876
标题:A chlorobenzhydryl piperazine derivative
作者:Milani, C.; Carminati, G.M.; Sovera, A. (3M Pharmaceuticals)
来源:DE 2950378
合成路线图解说明:

By condensation of 3-carbethoxy-4-hydroxy-2-methyl-2H-1,2 benzothiazine 1,1-dioxide (III) vvith 2 pyridylisocyanate (II) obtained in situ by decom position of 2-phenoxycarbonylaminopyridine (I).

合成路线图解说明:

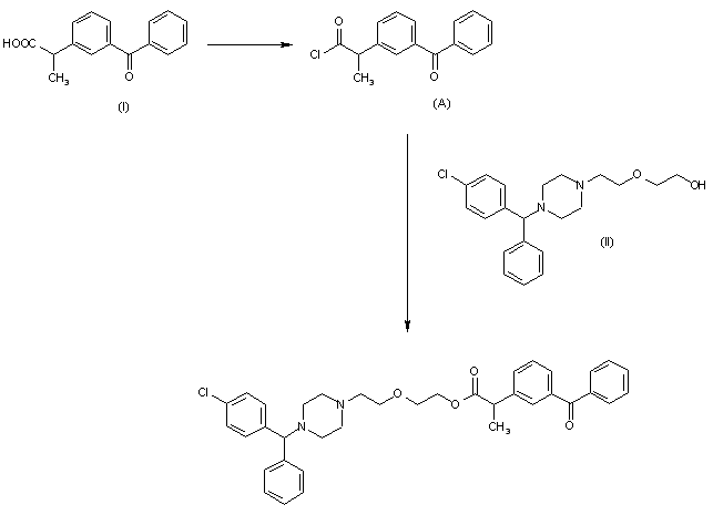
By chlorination of acid (I) and subsequent esterification with the aminoalcohol (II).

参考文献No.49712
标题:Droxicam
作者:Prous, J.; Casta馿r, J.
来源:Drugs Fut 1986,11(10),835
合成路线图解说明:

By condensation of 3-carbethoxy-4-hydroxy-2-methyl-2H-1,2 benzothiazine 1,1-dioxide (III) vvith 2 pyridylisocyanate (II) obtained in situ by decom position of 2-phenoxycarbonylaminopyridine (I).

Drug Information Express,Drug R&D,Chemical Database,Patent Search.
Copyright © 2006-2026 Drug Future. All rights reserved.Contact Us