【药物名称】Suplatast tosilate, IPD-1151T, IPD, MPD
化学结构式(Chemical Structure):
参考文献No.77
标题:Sulfonium cpds., processes for preparing the cpds. and pharmacological compsns. containing the same
作者:Hori, M.; Matsuura, N.; Ueda, S.; Yamawaki, I.; Yasumoto, M.; Tada, Y.; Koda, A. (Taiho Pharmaceutical Co., Ltd.)
来源:CH 659066; DE 3408708; FR 2542312; GB 2137986; JP 1984167564; JP 1984170062; JP 1985152459; US 4556737
合成路线图解说明:

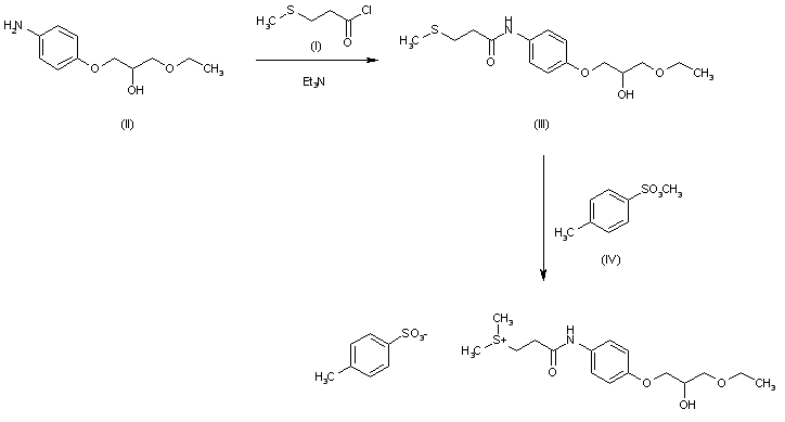
The condensation of 3-(methylmercapto)propionyl chloride (I) with 4-(3-ethoxy-2 hydroxypropoxy) aniline (II) by means of triethylamine in DMF gives the corresponding amide (III), which is then treated with methyl p-toluenesulfonate (IV) in dichloromethane.

参考文献No.72700
标题:IPD-1151T
作者:Prous, J.; Casta馿r, J.
来源:Drugs Fut 1988,13(11),952
合成路线图解说明:

The condensation of 3-(methylmercapto)propionyl chloride (I) with 4-(3-ethoxy-2 hydroxypropoxy) aniline (II) by means of triethylamine in DMF gives the corresponding amide (III), which is then treated with methyl p-toluenesulfonate (IV) in dichloromethane.

Drug Information Express,Drug R&D,Chemical Database,Patent Search.
Copyright © 2006-2026 Drug Future. All rights reserved.Contact Us