【药物名称】Iopentol, Compound-5411, Ivepaque, Imagopaque
化学结构式(Chemical Structure):
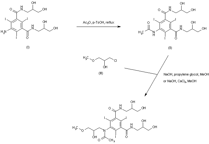
参考文献No.59
标题:X-Ray contrast agents
作者:Wille, K. (Amersham plc)
来源:EP 0105752
合成路线图解说明:

Acetylation of 5-amino-N,N'-bis(2,3-dihydroxypropyl)-2,4,6-triiodoisophthalamide (I) in refluxing acetic anhydride in the presence of p-toluenesulfonic acid affords acetamide (II). The title compound is then obtained by alkylation of acetamide (II) with 1-chloro-3-methoxy-2-propanol (III). The selectivity in the alkylation at the acetamide N has been improved with the addition of several metallic cations, the best results being obtained with calcium ions.

参考文献No.58599
标题:An N-alkylation
作者:Priebe, H. (Amersham plc)
来源:GB 2331098
合成路线图解说明:

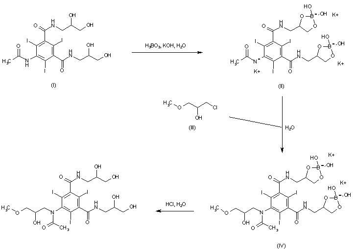
In an improved method, the acetamido isophthalamide (I) is treated with boric acid and KOH to form the cyclic diborate tripotassium salt (II). Subsequent alkylation of (II) with 1-chloro-3-methoxy-2-propanol (III) yields regioselectively the N-alkylated acetamide (IV). The borate groups of (IV) are finally removed upon quenching with diluted HCl.

合成路线图解说明:

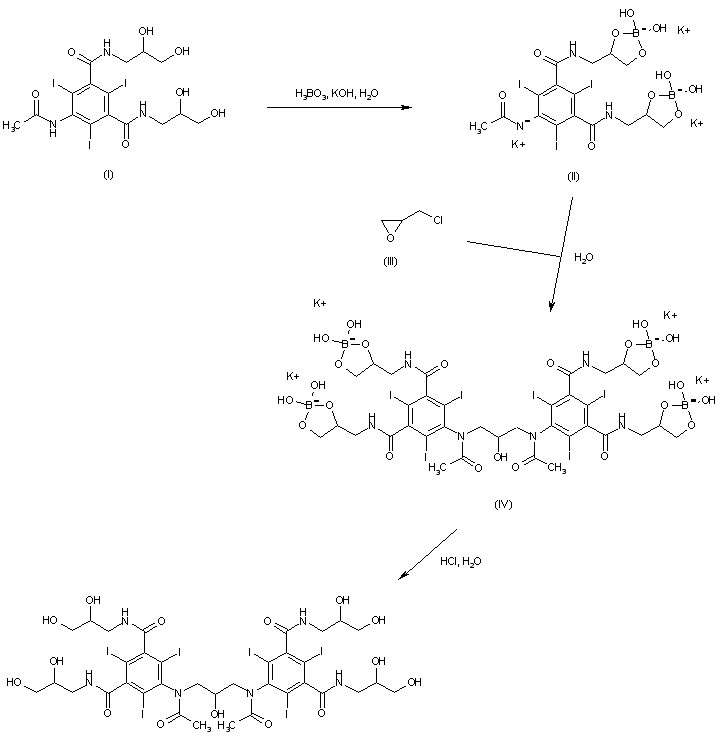
In a different strategy, the acetamido isophthalamide (I) is treated with boric acid and KOH to form the cyclic diborate tripotassium salt (II). Subsequent condensation of (II) with epichlorohydrin (III) yields the dimeric adduct (IV). The borate groups of (IV) are finally removed upon quenching with diluted HCl.

合成路线图解说明:

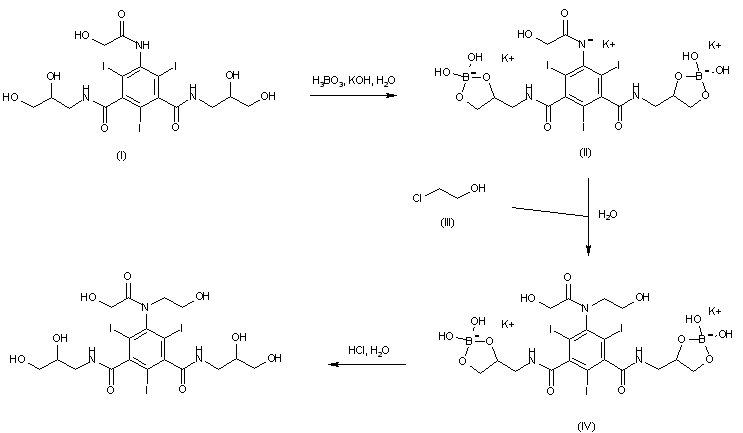
In an improved method, the acetamido isophthalamide (I) is treated with boric acid and KOH to form the cyclic diborate tripotassium salt (II). Subsequent alkylation of (II) with 2-chloroethanol (III) yields regioselectively the N-alkylated acetamide (IV). The borate groups of (IV) are finally removed upon quenching with diluted HCl.

参考文献No.58600
标题:Process for the preparation of contrast agents
作者:Cockbain, J.R.M.; Gulbrandsen, T.; Ingvoldstad, O.E.; Holmaas, L.T. (Amersham plc)
来源:WO 9808805
合成路线图解说明:

Acetylation of 5-amino-N,N'-bis(2,3-dihydroxypropyl)-2,4,6-triiodoisophthalamide (I) in refluxing acetic anhydride in the presence of p-toluenesulfonic acid affords acetamide (II). The title compound is then obtained by alkylation of acetamide (II) with 1-chloro-3-methoxy-2-propanol (III). The selectivity in the alkylation at the acetamide N has been improved with the addition of several metallic cations, the best results being obtained with calcium ions.

参考文献No.91192
标题:Preparative liquid chromatography in the field of X-ray contrast agents
作者:Skjoeld, W.; Berg, A.
来源:J Chromatogr 1986,366299
合成路线图解说明:

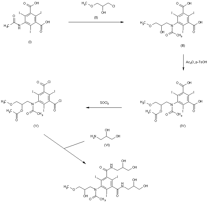
Alternatively, 5-acetamido-2,4,6-triiodoisophthalic acid (I) is alkylated with 1-chloro-3-methoxy-2-propanol (II) to produce (III). After protection of the alcoholic hydroxyl group as the acetate ester (IV), the carboxyl groups are activated as the corresponding acid chloride (V) with SOCl2. Coupling of (V) with 3-amino-1,2-propanediol (VI) then produces the title amide.

参考文献No.707300
标题:A selective process for N-alkylation in competition with O-alkylation: Boric acid, borax, and metaborate as a cheap and effective protecting group applicable for industrial-scale synthetic processes
作者:Bjoersvik, H.-R.; et al.
来源:Org Process Res Dev 2001,5(5),472
合成路线图解说明:

In an improved method, the acetamido isophthalamide (I) is treated with boric acid and KOH to form the cyclic diborate tripotassium salt (II). Subsequent alkylation of (II) with 1-chloro-3-methoxy-2-propanol (III) yields regioselectively the N-alkylated acetamide (IV). The borate groups of (IV) are finally removed upon quenching with diluted HCl.

合成路线图解说明:

In a different strategy, the acetamido isophthalamide (I) is treated with boric acid and KOH to form the cyclic diborate tripotassium salt (II). Subsequent condensation of (II) with epichlorohydrin (III) yields the dimeric adduct (IV). The borate groups of (IV) are finally removed upon quenching with diluted HCl.

合成路线图解说明:

In an improved method, the acetamido isophthalamide (I) is treated with boric acid and KOH to form the cyclic diborate tripotassium salt (II). Subsequent alkylation of (II) with 2-chloroethanol (III) yields regioselectively the N-alkylated acetamide (IV). The borate groups of (IV) are finally removed upon quenching with diluted HCl.

参考文献No.707332
标题:An observation of cationic influence on the N/O alkylation selectivity in the alkylation of a compound containing several nucleophilic sites
作者:Bjoersvik, H.-R.; et al.
来源:Acta Chem Scand 1994,48(7),582
合成路线图解说明:

Acetylation of 5-amino-N,N'-bis(2,3-dihydroxypropyl)-2,4,6-triiodoisophthalamide (I) in refluxing acetic anhydride in the presence of p-toluenesulfonic acid affords acetamide (II). The title compound is then obtained by alkylation of acetamide (II) with 1-chloro-3-methoxy-2-propanol (III). The selectivity in the alkylation at the acetamide N has been improved with the addition of several metallic cations, the best results being obtained with calcium ions.

Drug Information Express,Drug R&D,Chemical Database,Patent Search.
Copyright © 2006-2026 Drug Future. All rights reserved.Contact Us