【药物名称】HA-1004
化学结构式(Chemical Structure):
参考文献No.49652
标题:HA-1004
作者:Koch, H.; Casta馿r, J.
来源:Drugs Fut 1985,10(10),815
合成路线图解说明:

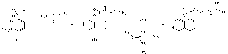
The reaction of 5-isoquinolinesulfonyl chloride (I) with ethyldiamine (II) in methylene chloride gives N-(2-aminoethyl)isoquinoline-5-sulfonamide (III), which is then condensed with S-methylisothiourea sulfate (IV) by means of NaOH at 80 C.

参考文献No.607996
标题:Vasodilatory action of HA-1004 [N-(2-guanidinoethyl)-5-isoquinolinesulfonamide], a novel calcium antagonist with no efect on cardiac function
作者:Asano, T.; Hidaka, H.
来源:J Pharmacol Exp Ther 1984,231(1),141
合成路线图解说明:

The reaction of 5-isoquinolinesulfonyl chloride (I) with ethyldiamine (II) in methylene chloride gives N-(2-aminoethyl)isoquinoline-5-sulfonamide (III), which is then condensed with S-methylisothiourea sulfate (IV) by means of NaOH at 80 C.

Drug Information Express,Drug R&D,Chemical Database,Patent Search.
Copyright © 2006-2026 Drug Future. All rights reserved.Contact Us