【药物名称】Cefteram, T-2525
化学结构式(Chemical Structure):
参考文献No.57
标题:Cephalosporins
作者:Hirakawa, T.; Imaizumi, H.; Inaba, T.; Konishi, Y.; Narita, H.; Sadaki, H.; Saikawa, I.; Tai, M.; Taki, H.; Watanabe, Y. (Toyama Chemical Co., Ltd.)
来源:AU 8549860; AU 8549863; DE 3137854; US 4489072
合成路线图解说明:

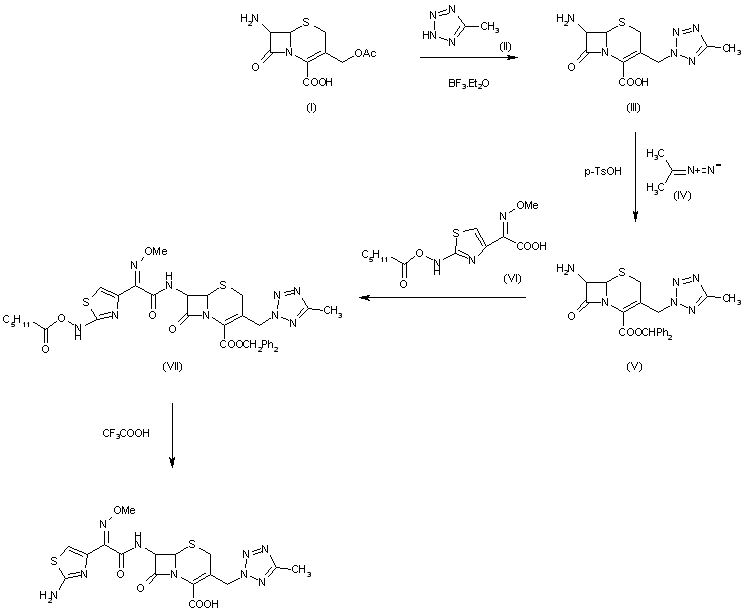
The condensation of 7-aminocephalosporanic acid (I) with 5-methyltetrazole (II) by means of BF3-ethyl ether in sulfolane gives 7-amino-3-(5-methyl-1,2,3,4-tetrazol-2-ylmethyl)-3-cephem-4-carboxylic acid (III), which is esterified with diphenyldiazomethane (IV) as usual to the ester (V). The condensation of (V) with 2-(tert-amyloxycarboxamidothiazol-4-yl)- 2-(methoxyimino)acetic acid (VI) by means of ethyl chlorocarbonate and N-methylmorpholine in CH2Cl2 affords the fully protected compound (VII), which is finally deprotected with trifluoroacetic acid.

合成路线图解说明:

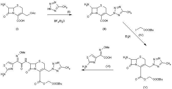
The condensation of 7-aminocephalosporanic acid (I) with 5-methyltetrazole (II) by means of BF3 ethyl ether in sulfolane gives 7-amino-3-(5-methyl-1,2,3,4-tetrazol-2-ylmethyl)-3-cephem-4-carboxylic acid (III), which is esterified with pivaloyloxymethyl iodide (IV) by means of triethylamine in DMF yielding the corresponding ester (V). Finally, this compound it condensed with 2-(2-aminothiazol-4-yl)-2-(methoxyimino)acetic acid (VI) by means of POCl3 and dimethylacetamide in CH2Cl2.

参考文献No.49645
标题:Cefteram
作者:Serradell, M.N.; Casta馿r, J.
来源:Drugs Fut 1986,11(9),732
合成路线图解说明:

The condensation of 7-aminocephalosporanic acid (I) with 5-methyltetrazole (II) by means of BF3-ethyl ether in sulfolane gives 7-amino-3-(5-methyl-1,2,3,4-tetrazol-2-ylmethyl)-3-cephem-4-carboxylic acid (III), which is esterified with diphenyldiazomethane (IV) as usual to the ester (V). The condensation of (V) with 2-(tert-amyloxycarboxamidothiazol-4-yl)- 2-(methoxyimino)acetic acid (VI) by means of ethyl chlorocarbonate and N-methylmorpholine in CH2Cl2 affords the fully protected compound (VII), which is finally deprotected with trifluoroacetic acid.

合成路线图解说明:

The condensation of 7-aminocephalosporanic acid (I) with 5-methyltetrazole (II) by means of BF3 ethyl ether in sulfolane gives 7-amino-3-(5-methyl-1,2,3,4-tetrazol-2-ylmethyl)-3-cephem-4-carboxylic acid (III), which is esterified with pivaloyloxymethyl iodide (IV) by means of triethylamine in DMF yielding the corresponding ester (V). Finally, this compound it condensed with 2-(2-aminothiazol-4-yl)-2-(methoxyimino)acetic acid (VI) by means of POCl3 and dimethylacetamide in CH2Cl2.

Drug Information Express,Drug R&D,Chemical Database,Patent Search.
Copyright © 2006-2026 Drug Future. All rights reserved.Contact Us