【药物名称】FK-448
化学结构式(Chemical Structure):
参考文献No.32
标题:Benzoylpiperazine esters and a process for their production
作者:Fujii, S.; Hattori, E.; Hirata, M.; Watanabe, K.; Onogi, K.; Nagakura, M. (Kowa Co., Ltd.)
来源:EP 0098713; JP 83225080; US 4898876
合成路线图解说明:

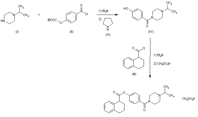
4-(4-isopropylpiperazinocarbonyl)phenol (IV) is obtained by reaction of 1-isopropylpiperazine (I) and 4-ethoxycarbonyloxybenzoylchloride (II) in CHCl3 using triethylamine (Et3N) as a proton scavenger, followed by removing its ethoxycarbonyl group using pyrrolidine in ethylacetate. Also, the reaction in CHCl3 of 1,2,3,4-tetrahydro-1-naphtoyl chloride (III) and (IV) using Et3N, followed by neutralization of the medium using NaOH and by salt formation using CH3SO3H in ethanol, yields FK-448.

参考文献No.49610
标题:FK-448
作者:Prous, J.; Casta馿r, J.
来源:Drugs Fut 1986,11(3),185
合成路线图解说明:

4-(4-isopropylpiperazinocarbonyl)phenol (IV) is obtained by reaction of 1-isopropylpiperazine (I) and 4-ethoxycarbonyloxybenzoylchloride (II) in CHCl3 using triethylamine (Et3N) as a proton scavenger, followed by removing its ethoxycarbonyl group using pyrrolidine in ethylacetate. Also, the reaction in CHCl3 of 1,2,3,4-tetrahydro-1-naphtoyl chloride (III) and (IV) using Et3N, followed by neutralization of the medium using NaOH and by salt formation using CH3SO3H in ethanol, yields FK-448.

Drug Information Express,Drug R&D,Chemical Database,Patent Search.
Copyright © 2006-2026 Drug Future. All rights reserved.Contact Us