FDA全球物质注册数据库(FDA Global Substance Registration System)
物质名称TEDISAMIL SESQUIFUMARATE
异名/同义词BIS(3',7'-BIS(CYCLOPROPYLMETHYL)SPIRO(CYCLOPENTANE-1,9'-(3,7)DIAZABICYCLO(3.3.1)NONANE))DIHYDROGEN TRIS((2E-BUT-2-ENEDIOATE)
KC-8857 SESQUIFUMARATE
PULZIUM
SPIRO(CYCLOPENTANE-1,9'-(3,7)DIAZABICYCLO(3.3.1)NONANE), 3',7'-BIS(CYCLOPROPYLMETHYL)-, (2E)-2-BUTENEDIOATE (2:3)
TEDISAMIL SESQUIFUMARATE
TEDISAMIL SESQUIFUMARATE [MI]
TEDISAMIL SESQUIFUMARATE [USAN]
TEDISAMIL SESQUIFUMARATE [WHO-DD]
CAS登记号150501-62-5
物质唯一标识(Unique Ingredient Identifier)Y4HRG433UU
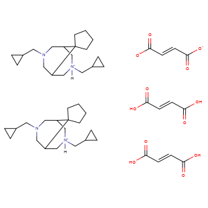
分子式
国际化合物标识(International Chemical Identifier,InChI)2C19H32N2.3C4H4O4
SMILESAZPYPAVFNGFTGB-VQYXCCSOSA-N
分子结构式
欧洲化学品管理局注册号(ECHA)
成分类型C(\C(=O)O)=C/C(=O)O.C12C3(C(CN(C1)CC4CC4)CN(C2)CC5CC5)CCCC3.C12C3(C(CN(C1)CC4CC4)CN(C2)CC5CC5)CCCC3.C(\C(=O)O)=C/C(=O)O.C(\C(=O)O)=C/C(=O)O / INGREDIENT SUBSTANCE
关联数据
  • 世界卫生组织药物词典
扩展资源
©2006-2026 Drugfuture->FDA Global Substance Registration System