FDA全球物质注册数据库(FDA Global Substance Registration System)
物质名称FRAMYCETIN SULFATE
异名/同义词BIOSOL
BYKOMYCIN
ENDOMIXIN
FRAMYCETIN SULFATE
FRAMYCETIN SULFATE [EP MONOGRAPH]
FRAMYCETIN SULFATE [MART.]
FRAMYCETIN SULPHATE
FRAQUINOL
FRAMYCETIN SULFATE [WHO-DD]
MYACINE
NEOBRETTIN
NEOMIX
NEOMYCIN B SULFATE
NEOMYCIN B SULPHATE
NEOMYCIN B, SULFATE (SALT)
NEOMYCIN B, SULPHATE (SALT)
NEOSULF
NIVEMYCIN
SOFRAMYCIN
TUTTOMYCIN
CAS登记号4146-30-9
物质唯一标识(Unique Ingredient Identifier)Y3720KZ4TQ
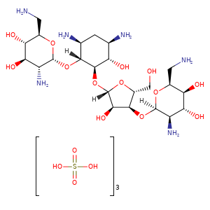
分子式C23H46N6O13.3H2O4S
国际化合物标识(International Chemical Identifier,InChI)KWBUARAINLGYMG-JGMIRXPNSA-N
SMILES[C@H]1([C@H]([C@H](N)C[C@@H]([C@]1(O[C@H]2O[C@@H]([C@@H](O)[C@@H]([C@H]2N)O)CN)[H])N)O)O[C@]3([C@@H]([C@@H]([C@H](O3)CO)O[C@@]4([C@@H]([C@H]([C@@H]([C@@H](O4)CN)O)O)N)[H])O)[H].OS(=O)(=O)O.OS(=O)(=O)O.OS(=O)(=O)O
分子结构式
欧洲化学品管理局注册号(ECHA)223-969-3
成分类型INGREDIENT SUBSTANCE / chemical
关联数据
扩展资源
©2006-2026 Drugfuture->FDA Global Substance Registration System