FDA全球物质注册数据库(FDA Global Substance Registration System)
物质名称
BENZENEDIAZONIUM BISULFATE
异名/同义词
BENZENEDIAZONIUM BISULFATE
BENZENEDIAZONIUM HYDROGEN SULFATE
BENZENEDIAZONIUM SULFURIC ACID SALT
BENZENEDIAZONIUM, SULFATE (1:1)
J1.451.489I
CAS登记号
36211-73-1
物质唯一标识(Unique Ingredient Identifier)
X2UBR4TY7X
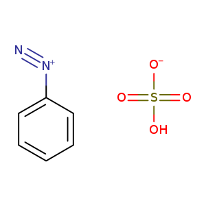
分子式
C6H5N2.HO4S
国际化合物标识(International Chemical Identifier,InChI)
AQZZSWZMWUUVCI-UHFFFAOYSA-M
SMILES
c1(ccccc1)[N+]#N.S(=O)(=O)([O-])O
分子结构式
欧洲化学品管理局注册号(ECHA)
成分类型
INGREDIENT SUBSTANCE / chemical
关联数据
扩展资源
Common Chemistry
Inxight Drugs
NCATS GSRS Full Record
PubChem
©2006-2025
Drugfuture
->
FDA Global Substance Registration System