FDA全球物质注册数据库(FDA Global Substance Registration System)
物质名称CYCLOGUANIL PAMOATE
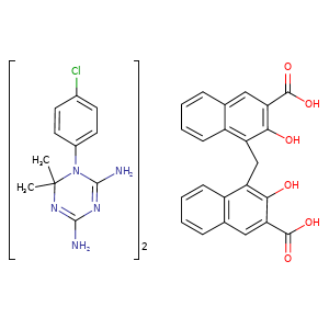
异名/同义词2-NAPHTHALENECARBOXYLIC ACID, 4,4'-METHYLENEBIS(3-HYDROXY-, COMPD. WITH 1-(4-CHLOROPHENYL)-1,6-DIHYDRO-6,6-DIMETHYL-1,3,5-TRIAZINE-2,4-DIAMINE (1:2)
4,6-DIAMINO-1-(P-CHLOROPHENYL)-1,2-DIHYDRO-2,2-DIMETHYL-S-TRIAZINE COMPOUND (2:1) WITH 4,4'-METHYLENEBIS(3-HYDROXY-2-NAPHTHOIC ACID)
CI-501
CN-14,329-23A
CN-14329-23A
CYCLOGUANIL EMBONATE
CYCLOGUANIL PAMOATE
CYCLOGUANIL PAMOATE [MI]
CYCLOGUANIL PAMOATE [USAN]
CYCLOGUANIL EMBONATE [WHO-DD]
NSC-77830
PAM-MR-807-23A
CYCLOGUANIL EMBONATE [INN]
CAS登记号609-78-9
物质唯一标识(Unique Ingredient Identifier)TCO0SY4N3D
分子式C23H16O6.2C11H14ClN5
国际化合物标识(International Chemical Identifier,InChI)LUNRMKZYOGNOTR-UHFFFAOYSA-N
SMILESC=1(N(C(C)(C)N=C(N1)N)c2ccc(Cl)cc2)N.c1(c(c(Cc2c(c(C(=O)O)cc3c2cccc3)O)c4c(c1)cccc4)O)C(=O)O.C=1(N(C(N=C(N1)N)(C)C)c2ccc(Cl)cc2)N
分子结构式
欧洲化学品管理局注册号(ECHA)
成分类型INGREDIENT SUBSTANCE / chemical
关联数据
  • 药品国际非专利名称数据库
  • 世界卫生组织药物词典
扩展资源
©2006-2025 Drugfuture->FDA Global Substance Registration System