FDA全球物质注册数据库(FDA Global Substance Registration System)
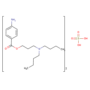
物质名称BUTACAINE SULFATE
异名/同义词1-PROPANOL, 3-(DIBUTYLAMINO)-, 4-AMINOBENZOATE (ESTER), SULFATE (SALT) (2:1)
1-PROPANOL, 3-(DIBUTYLAMINO)-, 4-AMINOBENZOATE (ESTER), SULPHATE (SALT) (2:1)
3-(DIBUTYLAMINO)-1-PROPANOL P-AMINOBENZOATE (ESTER) SULFATE (2:1)
3-(DIBUTYLAMINO)-1-PROPANOL P-AMINOBENZOATE (ESTER) SULPHATE (2:1)
BUTACAINE SULFATE
BUTACAINE SULFATE [GREEN BOOK]
BUTACAINE SULFATE [MART.]
BUTACAINE SULFATE [MI]
BUTACAINE SULPHATE
BUTACAINE SULFATE [WHO-DD]
CAS登记号149-15-5
物质唯一标识(Unique Ingredient Identifier)PAU39W3CVB
分子式2C18H30N2O2.H2O4S
国际化合物标识(International Chemical Identifier,InChI)VWZAGCZUPZKTET-UHFFFAOYSA-N
SMILESC(c1ccc(cc1)N)(=O)OCCCN(CCCC)CCCC.S(=O)(=O)(O)O.C(c1ccc(cc1)N)(=O)OCCCN(CCCC)CCCC
分子结构式
欧洲化学品管理局注册号(ECHA)205-733-1
成分类型INGREDIENT SUBSTANCE / chemical
关联数据
扩展资源
©2006-2025 Drugfuture->FDA Global Substance Registration System