FDA全球物质注册数据库(FDA Global Substance Registration System)
物质名称
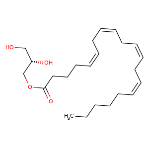
GLYCERYL 1-ARACHIDONATE, (S)-
异名/同义词
5,8,11,14-EICOSATETRAENOIC ACID, (2S)-2,3-DIHYDROXYPROPYL ESTER, (5Z,8Z,11Z,14Z)-
5,8,11,14-EICOSATETRAENOIC ACID, 2,3-DIHYDROXYPROPYL ESTER, (S-(ALL-Z))-
GLYCERYL 1-ARACHIDONATE, (S)-
CAS登记号
124511-15-5
物质唯一标识(Unique Ingredient Identifier)
P471A4329T
分子式
国际化合物标识(International Chemical Identifier,InChI)
C23H38O4
SMILES
DCPCOKIYJYGMDN-HUDVFFLJSA-N
分子结构式
欧洲化学品管理局注册号(ECHA)
成分类型
O[C@@H](CO)COC(=O)CCC/C=C\C/C=C\C/C=C\C/C=C\CCCCC / INGREDIENT SUBSTANCE
关联数据
扩展资源
Common Chemistry
Inxight Drugs
DailyMed Regulated Products
NCATS GSRS Full Record
PubChem
©2006-2026
Drugfuture
->
FDA Global Substance Registration System