FDA全球物质注册数据库(FDA Global Substance Registration System)
物质名称
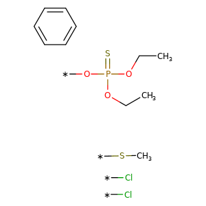
CHLORTHIOPHOS
异名/同义词
CHLORTHIOPHOS
CHLORTHIOPHOS [ISO]
PHOSPHOROTHIOIC ACID, O-(DICHLORO(METHYLTHIO)PHENYL) O,O-DIETHYL ESTER
CAS登记号
60238-56-4
物质唯一标识(Unique Ingredient Identifier)
O256QW5Y0Q
分子式
国际化合物标识(International Chemical Identifier,InChI)
SMILES
分子结构式
欧洲化学品管理局注册号(ECHA)
成分类型
INGREDIENT SUBSTANCE / mixture
关联数据
扩展资源
Common Chemistry
Inxight Drugs
NCATS GSRS Full Record
©2006-2026
Drugfuture
->
FDA Global Substance Registration System