FDA全球物质注册数据库(FDA Global Substance Registration System)
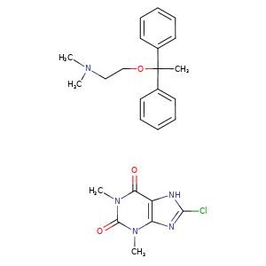
物质名称MOXASTINE TEOCLATE
异名/同义词1H-PURINE-2,6-DIONE, 8-CHLORO-3,9-DIHYDRO-1,3-DIMETHYL-, COMPD. WITH 2-(1,1-DIPHENYLETHOXY)-N,N-DIMETHYLETHANAMINE (1:1)
MEPHENHYDRAMINE TEOCLATE
MEPHENHYDRAMINE THEOPHYLLINE, 8-CHLORO
MOXASTINE TEOCLATE
MOXASTINE TEOCLATE [MART.]
MOXASTINE THEOPHYLLINE, 8-CHLORO
MOXASTINE TEOCLATE [WHO-DD]
THEOPHYLLINE, 8-CHLORO-, COMPD. WITH 2-(1,1-DIPHENYLETHOXY)-N,N-DIMETHYLETHYLAMINE
CAS登记号21661-62-1
物质唯一标识(Unique Ingredient Identifier)J566J1RZ9J
分子式C18H23NO.C7H7ClN4O2
国际化合物标识(International Chemical Identifier,InChI)ZAYCRPQFDFUAHF-UHFFFAOYSA-N
SMILESClc1[nH]c2c(n1)n(C)c(=O)n(C)c2=O.C(c1ccccc1)(c2ccccc2)(OCCN(C)C)C
分子结构式
欧洲化学品管理局注册号(ECHA)
成分类型INGREDIENT SUBSTANCE / chemical
关联数据
扩展资源
©2006-2026 Drugfuture->FDA Global Substance Registration System