FDA全球物质注册数据库(FDA Global Substance Registration System)
物质名称DISODIUM CITRATE SESQUIHYDRATE
异名/同义词1,2,3-PROPANETRICARBOXYLIC ACID, 2-HYDROXY-, DISODIUM SALT, HYDRATE (2:3)
1,2,3-PROPANETRICARBOXYLIC ACID, 2-HYDROXY-, SODIUM SALT, HYDRATE (2:4:3)
CITRIC ACID, DISODIUM SALT, SESQUIHYDRATE
DISODIUM CITRATE SESQUIHYDRATE
DISODIUM HYDROGEN CITRATE 1.5 H2O
DISODIUM HYDROGEN CITRATE SESQUIHYDRATE
EC NO. 612-119-0
SODIUM CITRATE DIBASIC SESQUIHYDRATE
TETRASODIUM, 3-CARBOXY-3-HYDROXYPENTANEDIOATE, TRIHYDRATE
CAS登记号6132-05-4
物质唯一标识(Unique Ingredient Identifier)CZ1032CEKR
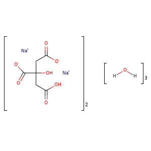
分子式2C6H5O7.4Na.2H.3H2O
国际化合物标识(International Chemical Identifier,InChI)HGPVLOQNBSHYEI-UHFFFAOYSA-J
SMILES[Na+].O=C(CC(C([O-])=O)(O)CC(=O)[O-])[O-].[H+].O.[Na+].[Na+].[Na+].O=C(CC(C([O-])=O)(O)CC(=O)[O-])[O-].[H+].O.O
分子结构式
欧洲化学品管理局注册号(ECHA)
成分类型INGREDIENT SUBSTANCE / chemical
关联数据
    扩展资源
    ©2006-2026 Drugfuture->FDA Global Substance Registration System