FDA全球物质注册数据库(FDA Global Substance Registration System)
物质名称PENTASODIUM DIETHYLENETRIAMINEPENTAMETHYLENEPHOSPHONATE
异名/同义词DIETHYLENETRIAMINE PENTAMETHYLENE PHOSPHONIC ACID, PENTASODIUM SALT
DIETHYLENETRIAMINEPENTA(METHYLENEPHOSPHONIC ACID), PENTASODIUM SALT
DQ-2066
PENTASODIUM DIETHYLENETRIAMINEPENTA(METHYLENEPHOSPHONATE)
PENTASODIUM DIETHYLENETRIAMINEPENTAMETHYLENEPHOSPHONATE
PHOSPHONIC ACID, (((PHOSPHONOMETHYL)IMINO)BIS(2,1-ETHANEDIYLNITRILOBIS(METHYLENE)))TETRAKIS-, PENTASODIUM SALT
PHOSPHONIC ACID, P,P',P'',P'''-(((PHOSPHONOMETHYL)IMINO)BIS(2,1-ETHANEDIYLNITRILOBIS(METHYLENE)))TETRAKIS-, SODIUM SALT (1:5)
CAS登记号61792-09-4
物质唯一标识(Unique Ingredient Identifier)96V6W55893
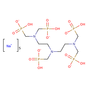
分子式
国际化合物标识(International Chemical Identifier,InChI)C9H23N3O15P5.5Na
SMILESQRIAWZKHYOWOAR-UHFFFAOYSA-I
分子结构式
欧洲化学品管理局注册号(ECHA)
成分类型P(=O)([O-])(O)CN(CP(=O)(O)[O-])CCN(CCN(CP(=O)([O-])O)CP(=O)(O)[O-])CP(O)([O-])=O.[Na+].[Na+].[Na+].[Na+].[Na+] / INGREDIENT SUBSTANCE
关联数据
    扩展资源
    ©2006-2026 Drugfuture->FDA Global Substance Registration System