FDA全球物质注册数据库(FDA Global Substance Registration System)
物质名称POVIDONE-IODINE
异名/同义词1-VINYL-2-PYRROLIDINONE POLYMER, COMPOUND WITH IODINE
2-PYRROLIDINONE, 1-ETHENYL-, HOMOPOLYMER, COMPD. WITH IODINE
BETADINE
E-Z PREP
E-Z PREP 220
E-Z SCRUB 201
E-Z SCRUB 241
NSC-26245
POVIDONE IODINE
POVIDONE IODINE [VANDF]
POVIDONE-IODINE
POVIDONE-IODINE [HSDB]
POVIDONE-IODINE [JAN]
POVIDONE-IODINE [MART.]
POVIDONE-IODINE [ORANGE BOOK]
POVIDONE-IODINE [USP MONOGRAPH]
POVIDONE-IODINE [VANDF]
POVIDONE-IODINE [MI]
PVP-IODINE
POVIDONE-IODINE [WHO-DD]
CAS登记号25655-41-8
物质唯一标识(Unique Ingredient Identifier)85H0HZU99M
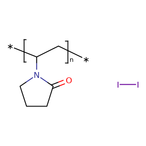
分子式
国际化合物标识(International Chemical Identifier,InChI)
SMILES
分子结构式
欧洲化学品管理局注册号(ECHA)
成分类型INGREDIENT SUBSTANCE / mixture
关联数据
扩展资源
©2006-2026 Drugfuture->FDA Global Substance Registration System