FDA全球物质注册数据库(FDA Global Substance Registration System)
物质名称MEPINDOLOL SULFATE
异名/同义词2-PROPANOL, 1-((1-METHYLETHYL)AMINO)-3-((2-METHYL-1H-INDOL-4-YL)OXY)-, SULFATE (2:1)
CORINDOLAN
LF 17-895
LF-17-895
LF-17895
MEPINDOLOL SULFATE
MEPINDOLOL SULFATE SALT [MI]
MEPINDOLOL SULFATE [WHO-DD]
CAS登记号56396-94-2
物质唯一标识(Unique Ingredient Identifier)63523X4FBA
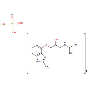
分子式2C15H22N2O2.H2O4S
国际化合物标识(International Chemical Identifier,InChI)PNYFXKOIFMZVQC-UHFFFAOYSA-N
SMILESOS(O)(=O)=O.c1cc2[nH]c(cc2c(c1)OCC(CNC(C)C)O)C.c1cc2c(c(c1)OCC(CNC(C)C)O)cc([nH]2)C
分子结构式
欧洲化学品管理局注册号(ECHA)260-153-6
成分类型INGREDIENT SUBSTANCE / chemical
关联数据
  • 世界卫生组织药物词典
扩展资源
©2006-2026 Drugfuture->FDA Global Substance Registration System