FDA全球物质注册数据库(FDA Global Substance Registration System)
物质名称DIHYDROSTREPTOMYCIN PANTOTHENATE
异名/同义词D-PANTOTHENIC ACID COMPD. WITH DIHYDROSTREPTOMYCIN
D-STREPTAMINE, O-2-DEOXY-2-(METHYLAMINO)-.ALPHA.-L-GLUCOPYRANOSYL-(1,2)-O-5-DEOXY-3-C-(HYDROXYMETHYL)-.ALPHA.-L-LYXOFURANOSYL-(1,4)-N,N'-BIS(AMINOIMINOMETHYL)-, COMPD. WITH (R)-N-(2,4-DIHYDROXY-3,3-DIMETHYL-1-OXOBUTYL)-.BETA.-ALANINE
DIDROTHENAT
DIHYDROSTREPTOMYCIN PANTOTHENATE
DIHYDROSTREPTOMYCIN PANTOTHENATE [MI]
DIHYDROSTREPTOMYCIN PANTOTHENATE [WHO-DD]
PANTHOMYCIN
PANTOSTREP
PANTOTHENIC ACID, D-, COMPD. WITH DIHYDROSTREPTOMYCIN
STREPTOMYCIN, DIHYDRO-, D-PANTOTHENATE (SALT)
CAS登记号3563-84-6
物质唯一标识(Unique Ingredient Identifier)4A47J84Y2K
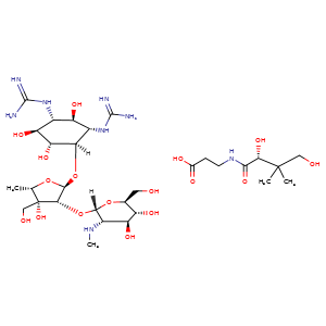
分子式C21H41N7O12.C9H17NO5
国际化合物标识(International Chemical Identifier,InChI)BCYSNOFYSIJRNM-FGZKHVCBSA-N
SMILES[C@]1([C@H]([C@@H]([C@H]([C@@H](O1)CO)O)O)NC)(O[C@@H]2[C@@]([C@@H](O[C@H]2O[C@@]3([C@H]([C@@H]([C@H]([C@@H]([C@H]3O)O)NC(N)=N)O)NC(N)=N)[H])C)(O)CO)[H].C([C@H](O)C(CO)(C)C)(=O)NCCC(=O)O
分子结构式
欧洲化学品管理局注册号(ECHA)222-637-5
成分类型INGREDIENT SUBSTANCE / chemical
关联数据
  • 世界卫生组织药物词典
扩展资源
©2006-2025 Drugfuture->FDA Global Substance Registration System