FDA全球物质注册数据库(FDA Global Substance Registration System)
物质名称
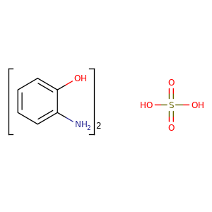
O-AMINOPHENOL SULFATE
异名/同义词
O-AMINOPHENOL SULFATE
PHENOL, 2-AMINO-, SULFATE (2:1) (SALT)
RODOL 2GS
CAS登记号
67845-79-8
物质唯一标识(Unique Ingredient Identifier)
45L97927QI
分子式
国际化合物标识(International Chemical Identifier,InChI)
2C6H7NO.H2O4S
SMILES
SHUIDGXTJAQFJO-UHFFFAOYSA-N
分子结构式
欧洲化学品管理局注册号(ECHA)
成分类型
S(=O)(=O)(O)O.Nc1c(cccc1)O.Nc1c(O)cccc1 / INGREDIENT SUBSTANCE
关联数据
扩展资源
Common Chemistry
Inxight Drugs
DailyMed Regulated Products
NCATS GSRS Full Record
PubChem
©2006-2026
Drugfuture
->
FDA Global Substance Registration System