FDA全球物质注册数据库(FDA Global Substance Registration System)
物质名称
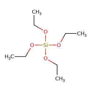
TETRAETHYL SILICATE
异名/同义词
DYNASIL A
ETHYL SILICATE [MI]
NSC-4790
SILICIC ACID, TETRAETHYL ESTER
SILIKAN L
TEOS
TEOS [VAN]
TETRAETHOXYSILANE
TETRAETHYL ORTHOSILICATE
TETRAETHYL SILICATE
TETRAETHYL SILICATE [HSDB]
CAS登记号
78-10-4
物质唯一标识(Unique Ingredient Identifier)
42064KRE49
分子式
42064KRE49
国际化合物标识(International Chemical Identifier,InChI)
C8H20O4Si
SMILES
BOTDANWDWHJENH-UHFFFAOYSA-N
分子结构式
欧洲化学品管理局注册号(ECHA)
成分类型
O(CC)[Si](OCC)(OCC)OCC / INGREDIENT SUBSTANCE
关联数据
危险物质数据库
扩展资源
Common Chemistry
Inxight Drugs
DailyMed Regulated Products
NCATS GSRS Full Record
PubChem
Rxnorm
©2006-2026
Drugfuture
->
FDA Global Substance Registration System