| 物质名称 | URALSAPONIN C |
|---|
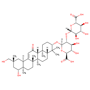
| 异名/同义词 | .BETA.-D-GLUCOPYRANOSIDURONIC ACID, (3.BETA.,20.BETA.,22.BETA.)-22,29-DIHYDROXY-11-OXOOLEAN-12-EN-3-YL 2-O-.BETA.-D-GLUCOPYRANURONOSYL- URALSAPONIN C
|
|---|
| CAS登记号 | 1262326-46-4 |
|---|
| 物质唯一标识(Unique Ingredient Identifier) | 1CW86HCS2A |
|---|
| 分子式 | C42H64O16 |
|---|
| 国际化合物标识(International Chemical Identifier,InChI) | ZFSRTFFNWLQWAO-UEFFDLHQSA-N |
|---|
| SMILES | C1[C@@]2([C@@]([C@@]3([C@@](C1)([C@]4(C(=CC3=O)[C@]5([C@@](CC4)([C@@H](C[C@](C5)(C)CO)O)C)[H])C)C)[H])(CC[C@@H](C2(C)C)O[C@]6([C@@H]([C@H]([C@@H]([C@H](O6)C(=O)O)O)O)O[C@@]7(O[C@@H]([C@H]([C@@H]([C@H]7O)O)O)C(=O)O)[H])[H])C)[H] |
|---|
| 分子结构式 |  |
|---|
| 欧洲化学品管理局注册号(ECHA) | |
|---|
| 成分类型 | INGREDIENT SUBSTANCE / chemical |
|---|
| 关联数据 | |
|---|
| 扩展资源 | |
|---|