FDA全球物质注册数据库(FDA Global Substance Registration System)
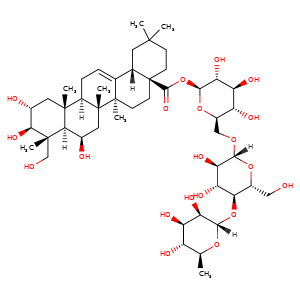
物质名称ASIATICOSIDE B
异名/同义词ASIATICOSIDE B
ASIATICOSIDE B (CONSTITUENT OF CENTELLA ASIATICA) [DSC]
OLEAN-12-EN-28-OIC ACID, 2,3,6,23-TETRAHYDROXY-, O-6-DEOXY-.ALPHA.-L-MANNOPYRANOSYL-(1->4)-O-.BETA.-D-GLUCOPYRANOSYL-(1->6)-.BETA.-D-GLUCOPYRANOSYL ESTER, (2.ALPHA.,3.BETA.,4.ALPHA.,6.BETA.)-
TERMINOLOSIDE
CAS登记号125265-68-1
物质唯一标识(Unique Ingredient Identifier)17E01H280E
分子式C48H78O20
国际化合物标识(International Chemical Identifier,InChI)NNWMHSNRRWMMBI-PJISEHJASA-N
SMILES[C@H]1(C[C@]2([C@]([C@@]([C@H]1O)(CO)C)([C@@H](C[C@@]3([C@@]2(CC=C4[C@]3(CC[C@@]5([C@]4(CC(CC5)(C)C)[H])C(=O)O[C@@H]6O[C@@H]([C@H]([C@@H]([C@H]6O)O)O)CO[C@@]7(O[C@@H]([C@H]([C@@H]([C@H]7O)O)O[C@@]8(O[C@H]([C@@H]([C@H]([C@H]8O)O)O)C)[H])CO)[H])C)[H])C)O)[H])C)O
分子结构式
欧洲化学品管理局注册号(ECHA)
成分类型INGREDIENT SUBSTANCE / chemical
关联数据
    扩展资源
    ©2006-2025 Drugfuture->FDA Global Substance Registration System