FDA全球物质注册数据库(FDA Global Substance Registration System)
物质名称
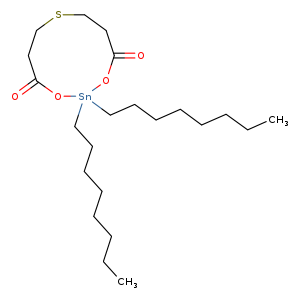
2,2-DIOCTYL-1,3,7,2-DIOXATHIASTANNECANE-4,10-DIONE
异名/同义词
1,3,7,2-DIOXATHIASTANNECANE-4,10-DIONE, 2,2-DIOCTYL-
1,3-DIOXA-7-THIA-2-STANNADECAN-4,10-DIONE, 2,2-DIOCTYL-
2,2-DIOCTYL-1,3,7,2-DIOXATHIASTANNECANE-4,10-DIONE
DIOCTYLTIN THIODIPROPIONATE
NSC-67019
CAS登记号
3594-15-8
物质唯一标识(Unique Ingredient Identifier)
0ROX44U7RC
分子式
国际化合物标识(International Chemical Identifier,InChI)
C22H42O4SSn
SMILES
AVOZSWKVGOLVKD-UHFFFAOYSA-L
分子结构式
欧洲化学品管理局注册号(ECHA)
成分类型
[Sn]1(OC(CCSCCC(O1)=O)=O)(CCCCCCCC)CCCCCCCC / INGREDIENT SUBSTANCE
关联数据
扩展资源
Common Chemistry
Inxight Drugs
DailyMed Regulated Products
NCATS GSRS Full Record
PubChem
©2006-2026
Drugfuture
->
FDA Global Substance Registration System