FDA全球物质注册数据库(FDA Global Substance Registration System)
物质名称
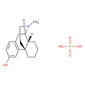
RACEMORPHAN SULFATE
异名/同义词
DL-3-HYDROXY-N-METHYLMORPHINAN SULFATE
MORPHINAN SULFATE [MI]
MORPHINAN-3-OL, 17-METHYL-, (+/-)-, SULFATE (SALT)
MORPHINAN-3-OL, N-METHYL-, SULFATE, (+/-)-
RACEMORPHAN SULFATE
CAS登记号
5985-36-4
物质唯一标识(Unique Ingredient Identifier)
0GRK3F2C0N
分子式
C17H23NO.H2O4S
国际化合物标识(International Chemical Identifier,InChI)
AWSHMQGEXAEMGM-DYWKTHLTSA-N;AWSHMQGEXAEMGM-YPYJQMNVSA-N
SMILES
S(=O)(=O)(O)O.CN1[C@]2([C@]3([C@@](CC1)(c4c(C2)ccc(c4)O)CCCC3)[H])[H]
分子结构式
欧洲化学品管理局注册号(ECHA)
成分类型
INGREDIENT SUBSTANCE / chemical
关联数据
扩展资源
Common Chemistry
Inxight Drugs
NCATS GSRS Full Record
©2006-2026
Drugfuture
->
FDA Global Substance Registration System