FDA全球物质注册数据库(FDA Global Substance Registration System)
物质名称CARAMIPHEN EDISYLATE
异名/同义词CARAMIPHEN EDISILATE
CARAMIPHEN EDISILATE [MART.]
CARAMIPHEN EDISYLATE
CARAMIPHEN EDISYLATE [GREEN BOOK]
CARAMIPHEN EDISYLATE [VANDF]
CARAMIPHEN ETHANEDISULFONATE
CARAMIPHEN ETHANEDISULFONATE [MI]
CYCLOPENTANECARBOXYLIC ACID, 1-PHENYL-, 2-(DIETHYLAMINO)ETHYL ESTER, 1,2-ETHANEDISULFONATE (2:1)
CYCLOPENTANECARBOXYLIC ACID, 1-PHENYL-, 2-(DIETHYLAMINO)ETHYL ESTER, 1,2-ETHANEDISULPHONATE (2:1)
CARAMIPHEN EDISILATE [WHO-DD]
CAS登记号125-86-0
物质唯一标识(Unique Ingredient Identifier)09TQU5PG95
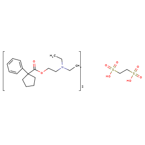
分子式2C18H27NO2.C2H6O6S2
国际化合物标识(International Chemical Identifier,InChI)BANIDACEBXZGNK-UHFFFAOYSA-N
SMILESS(=O)(=O)(O)CCS(=O)(=O)O.C1(c2ccccc2)(CCCC1)C(=O)OCCN(CC)CC.C1(c2ccccc2)(CCCC1)C(=O)OCCN(CC)CC
分子结构式
欧洲化学品管理局注册号(ECHA)204-759-0
成分类型INGREDIENT SUBSTANCE / chemical
关联数据
扩展资源
©2006-2025 Drugfuture->FDA Global Substance Registration System