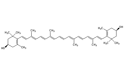
Zeaxanthin
Structural Formula Vector Image
Title: Zeaxanthin
CAS Registry Number: 144-68-3
CAS Name: b,b-Carotene-3,3¢-diol
Additional Names: all-trans-b-carotene-3,3¢-diol; (3R,3¢R)-dihydroxy-b-carotene; zeaxanthol; anchovyxanthin
Molecular Formula: C40H56O2
Molecular Weight: 568.87
Percent Composition: C 84.45%, H 9.92%, O 5.62%
Literature References: One of the most widespread carotenoid alcohols in nature. Occurs together and is isomeric with xanthophyll, q.v. It is the pigment of yellow corn Zea mays L., Gramineae. Isoln from yellow corn grits: Karrer et al., Helv. Chim. Acta 13, 268 (1930). Isoln by chromatography: Kuhn, Grundmann, Ber. 67, 596 (1934). Isoln from algae, bacteria: A. J. Aasen et al., Acta Chem. Scand. 26, 404 (1972). Isoln of dipalmitate from Physalis petal: Kuhn et al., Ber. 63, 1489 (1930). Does not possess vitamin A potency: Schumacher et al., Poult. Sci. 23, 529 (1944). Stereochemistry: Zechmeister, Chem. Rev. 34, 267 (1944). Abs config of natural zeaxanthin: T. E. de Ville et al., Chem. Commun. 1969, 1311; J. R. Hlubucek et al., J. Chem. Soc. Perkin Trans. 1 1974, 848. Total synthesis: Isler et al., Helv. Chim. Acta 39, 2041 (1956); 40, 456 (1957); Loeber et al., J. Chem. Soc. C 1971, 404; A. Rüttimann, H. Mayer, Helv. Chim. Acta 63, 1456 (1980); P. R. Ellis et al., ibid. 64, 1092 (1980); E. Widmer et al., ibid. 65, 944, 958 (1982). Sepn of configurational isomers by HPLC: A. Rüttimann et al., J. High Resolut. Chromatogr. Chromatogr. Commun. 6, 612 (1983). First isoln of enantiomeric and meso-zeaxanthin in nature: T. Maoka et al., Comp. Biochem. Physiol. 83B, 121 (1986). Mfg procedure: Isler et al., US 2917539 (1959 to Hoffmann-La Roche). Reviews: Zechmeister, Carotinoide (Berlin, 1934); Mayer, The Chemistry of Natural Coloring Matters (New York, 1943); Karrer, Jucker, Carotenoids (New York, 1950).
Properties: Yellow rhombic plates with steel-blue metallic luster from ethanol, mp 207° (Zechmeister); mp 215.5° (Kuhn). Optically inactive. Absorption bands (ethanol) 483, 451.5 nm. Practically insol in water. Slightly sol in petr ether, methanol; sol in carbon disulfide, benzene, chloroform, carbon tetrachloride, pyridine, ethyl acetate; sol in glacial acetic acid upon addition of hexane. Less sol in boiling methanol (1:1550) than xanthophyll.
Melting point: mp 207° (Zechmeister); mp 215.5° (Kuhn)
 
Derivative Type: Dipalmitate
Additional Names: Physalien; physalin
Molecular Formula: C72H116O4
Molecular Weight: 1045.69
Percent Composition: C 82.70%, H 11.18%, O 6.12%
Properties: Fine yellow or red needles from benzene, mp 97°.
Melting point: mp 97°

Other Monographs:
CinchophenTriclobisonium ChlorideThymostatinNefopam
PVNOOcimeneTumor Necrosis FactorAnazolene Sodium
Rose BengalEstazolamp-Nitroso-N,N-dimethylanilineAmmonium Citrate, Dibasic
2-Naphthalenesulfonic AcidMethantheline BromideElcometrine5,5-Dipropyl-2,4-oxazolidinedione
©2006-2023 DrugFuture->Chemical Index Database