Xylitol
Structural Formula Vector Image
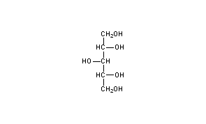
Title: Xylitol
CAS Registry Number: 87-99-0
Additional Names: xylo-Pentane-1,2,3,4,5-pentol; xylite
Trademarks: Eutrit (Takeda); Kannit (Mect); Klinit (Eisai); Kylit (Taiho); Newtol (Mohan); Torch (Sanwa); Xyliton (Morishita)
Molecular Formula: C5H12O5
Molecular Weight: 152.15
Percent Composition: C 39.47%, H 7.95%, O 52.58%
Literature References: Intermediate in metabolism of D-glucose through glucuronate cycle in livers. Prepd by reduction of xylose: G. Bertrand, Bull. Soc. Chim. Fr. [3] 5, 555 (1891); E. Fischer, R. Stahel, Ber. 24, 538 (1891). Prepn of metastable crystals: M. L. Wolfrom, E. J. Kohn, J. Am. Chem. Soc. 64, 1739 (1942); of stable form: J. F. Carson et al., ibid. 65, 1777 (1943). Crystal structure: H. S. Kim, G. A. Jeffrey, Acta Crystallogr. 25B, 2607 (1969). Use in prevention of dental caries: E. Grunberg et al., Int. J. Vitam. Nutr. Res. 43, 227 (1973); A. Scheinin, K. K. Makinen, DE 2606533 (1976 to Hoffmann-La Roche), C.A. 85, 149140h (1976). Acute toxicity: S. Salminen et al., Toxicol. Lett. 18, Suppl. 1, 37 (1983). Reviews of toxicity, metabolism and use as dietary additive: International Symposium on Metabolism, Physiology and Clinical Uses of Pentoses and Pentitols, B. L. Horecker et al., Eds. (Springer-Verlag, New York, 1969) 408 pp; Sugars in Nutrition, H. L. Sipple, K. W. McNutt, Eds. (Academic Press, New York, 1974) passim; G. E. Demetrakopoulos, H. Amos, World Rev. Nutr. Diet 32, 96-122 (1978); R. Ylikahri, Adv. Food Res. 25, 159-180 (1979). Book: Xylitol, J. N. Counsel, Ed. (Applied Science, London, 1978) 191 pp.
Properties: Stable form: orthorhombic needles from THF, prisms from ethanol; mp 93-94.5°; d 1.52. Metastable form: colorless, monoclinic, lath-shaped crystals from anhydrous methanol; hygroscopic; mp 61-61.5°. Soly of stable form (g/100 g soln): abs methanol 6.0; abs ethanol 1.2; water 64.2. Relative sweetness equal to sucrose. LD50 orally in mice: approx 22 g/kg (Salminen).
Melting point: mp 93-94.5°; mp 61-61.5°
Density: d 1.52
Toxicity data: LD50 orally in mice: approx 22 g/kg (Salminen)
Use: As oral and intravenous nutrient; in anticaries preparations.

Other Monographs:
Ammonium FerricyanidePlatoninGuaiacol ValerateKava
BenzestrolEriodictyolChavicineSodium Bicarbonate
DeoxydihydrostreptomycinIsothipendylIsopropyl MyristateJuvenile Hormones
Ethanearsonic AcidCongressaneEthylidene DicoumarolDiisobutyl Sodium Sulfosuccinate
©2006-2023 DrugFuture->Chemical Index Database