Versenol?
Structural Formula Vector Image
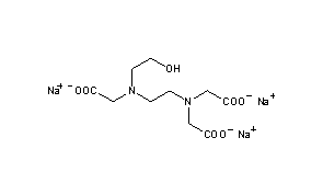
Title: Versenol® (Dow)
CAS Registry Number: 139-89-9
CAS Name: N-[2-[Bis(carboxymethyl)amino]ethyl]-N-(2-hydroxyethyl)glycine trisodium salt
Additional Names: N-(carboxymethyl)-N¢-(2-hydroxyethyl)-N,N¢-ethylenediglycine trisodium salt; N-hydroxyethylethylenediaminetriacetic acid trisodium salt; trisodium N-hydroxyethylethylenediaminetriacetate; HEDTA
Molecular Formula: C10H15N2Na3O7
Molecular Weight: 344.20
Percent Composition: C 34.89%, H 4.39%, N 8.14%, Na 20.04%, O 32.54%
Literature References: Prepn: Young, US 2811550 (1957 to Refined Prod.); Kroll, Dexter, US 2845457 (1958 to Geigy).
Use: As chelating agent for trivalent iron from pH 7 to pH 10. Forms strong 1:1 ferric chelates. The iron chelates formed will then chelate other heavy metal or alkaline earth ions.

Other Monographs:
TetramethylureaDalfopristinHeptenophosCytochalasins
MethisazoneDi-tert-butyl TricarbonateN-(1-Naphthyl)ethylenediamineMalonic Acid
TrichloroacetaldehydeBucumololPhytantriolα-Hydroxybenzylphosphinic Acid
IndanthreneMetoponEthylhexyl TriazoneCiclonicate
©2006-2023 DrugFuture->Chemical Index Database