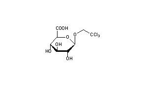
Urochloralic Acid
Structural Formula Vector Image
Title: Urochloralic Acid
CAS Registry Number: 97-25-6
CAS Name: 2,2,2-Trichloroethyl b-D-glucopyranosiduronic acid
Additional Names: 2,2,2-trichloroethyl b-D-glucosiduronic acid; b,b,b-trichloroethyl-D-glucuronide
Molecular Formula: C8H11Cl3O7
Molecular Weight: 325.53
Percent Composition: C 29.52%, H 3.41%, Cl 32.67%, O 34.40%
Literature References: Isolated from urine of man and dog after ingestion of chloral hydrate: von Mering, Musculus, Ber. 8, 663 (1875); from urine of calves fed trichloroethylene: Seto, Schultze, J. Am. Chem. Soc. 78, 1616 (1956).
Properties: Needles, mp 142°. [a]D27 -50.0° (c = 0.7). Freely soluble in water, alcohol. One gram dissolves in 234 ml of anhydr ether at 20°.
Melting point: mp 142°
Optical Rotation: [a]D27 -50.0° (c = 0.7)

Other Monographs:
FormocortalDehydrocholic AcidCalciseptineDelmopinol
α-Glucose-1-phosphateAmmonium PhosphiteBenzoguanamineCerous Nitrate
Calcium MethionateBefunololStrontium LactateCalcifediol
1-Naphthol-2-sulfonic AcidCythioate1-Fluoro-2,4-dinitrobenzenePotassium Bitartrate
©2006-2023 DrugFuture->Chemical Index Database