Tirilazad
Structural Formula Vector Image
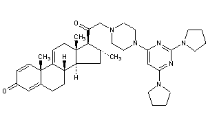
Title: Tirilazad
CAS Registry Number: 110101-66-1
CAS Name: (16a)-21-[4-(2,6-Di-1-pyrrolidinyl-4-pyrimidinyl)-1-piperazinyl]-16-methylpregna-1,4,-9(11)-triene-3,20-dione
Molecular Formula: C38H52N6O2
Molecular Weight: 624.86
Percent Composition: C 73.04%, H 8.39%, N 13.45%, O 5.12%
Literature References: Member of a novel class of nonglucocorticoid, 21-aminosteroid antioxidants known as lazaroids which inhibit lipid peroxidation and have cytoprotectant activity. Prepn: J. M. McCall et al., WO 8701706; eidem, US 5175281 (1987, 1992 both to Upjohn). Inhibition of iron-dependent lipid peroxidation in vitro: J. M. Braughler et al., J. Biol. Chem. 262, 10438 (1987). HPLC determn in plasma: J. W. Cox, R. H. Pullen, J. Chromatogr. 424, 293 (1988). Clinical pharmacokinetics: J. C. Fleishaker et al., J. Clin. Pharmacol. 33, 175, 182 (1993). Veterinary evaluation in endotoxemia of neonatal calves: M. L. Rose, S. D. Semrad, Am. J. Vet. Res. 53, 2305 (1992). Review: E. D. Hall, Ann. Neurol. 32, S137-S142 (1992). Review of efficacy and mechanism of action in experimental models of subarachnoid hemorrhage: idem, Eur. J. Anaesthesiol. 13, 279-289 (1996); of clinical trials in acute ischemic stroke: Tirilazad International Steering Committee, Stroke 32, 2257-2265 (2000).
 
Derivative Type: Methanesulfonate monohydrate
CAS Registry Number: 111793-42-1
Additional Names: Tirilazad mesylate
Manufacturers' Codes: U-74006F
Trademarks: Freedox (Pharmacia & Upjohn)
Molecular Formula: C38H52N6O2.CH3SO3H.H2O
Molecular Weight: 738.98
Percent Composition: C 63.39%, H 7.91%, N 11.37%, O 12.99%, S 4.34%
Properties: mp 181-185° (dec). uv max: 234, 285 nm (e 52000, 17000). Log P (octanol/water): 8.
Melting point: mp 181-185° (dec)
Log P: Log P (octanol/water): 8
Absorption maximum: uv max: 234, 285 nm (e 52000, 17000)

Other Monographs:
ThiazolsulfoneSilicon MonoxidePhillyrinCalcium Silicate
Streptobiosamine17α-Methyltestosterone 3-Cyclopentyl Enol EtherGuanosineStannous Sulfate
n-DibutylamineMetoclopramideHyalobiuronic AcidNealbarbital
DimethylthiambuteneThiopeptinCycloheximideSodium Cellulose Phosphate
©2006-2023 DrugFuture->Chemical Index Database