Thiocarbamizine
Structural Formula Vector Image
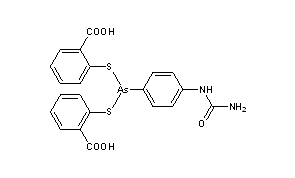
Title: Thiocarbamizine
CAS Registry Number: 91-71-4
CAS Name: 2,2ยข-[[[4-[(Aminocarbonyl)amino]phenyl]arsinidene]bis(thio)]bis[benzoic acid]
Additional Names: (p-ureidophenylarsylenedithio)di-o-benzoic acid; (p-ureidobenzenearsylenedithio)di-o-benzoic acid; 4-carbamidophenyl bis[o-carboxyphenylthio]arsenite; bis[o-carboxyphenylmercapto](p-ureidophenyl)arsine; thiocarbamisin
Molecular Formula: C21H17AsN2O5S2
Molecular Weight: 516.42
Percent Composition: C 48.84%, H 3.32%, As 14.51%, N 5.42%, O 15.49%, S 12.42%
Literature References: Prepd by heating o-HSC6H4COOH and Carbarsone oxide in aq alkali, purified by repeated precipitation with acid and dissolving in alkali: Rohrmann, US 2516831 (1950 to Lilly). Compare Arsenamide, Thiocarbarsone, Carbarsone.
Properties: White, cryst powder. Sparingly sol in water, alcohols. Insol in acids. Freely sol in dil alkali [see Arsenamide].
Therap-Cat: Antiamebic.
Keywords: Antiamebic.
 
 
Status: This monograph has been retired and is no longer subject to revision or update.

Other Monographs:
Ethyl tert-Butyl EtherDigininDimethyl CarbonateFlucloronide
p-DifluorobenzenePhendimetrazinePotassium Osmate(VI)Sulfabenzamide
Potassium TriiodozincateTris(hydroxymethyl)nitromethaneCalcium PyrophosphateSenecic Acid
Aluminum AntimonideRimocidinQuercetagetinMedullipin
©2006-2023 DrugFuture->Chemical Index Database