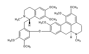
Thalicarpine
Structural Formula Vector Image
Title: Thalicarpine
CAS Registry Number: 5373-42-2
CAS Name: (6aS)-9-[4,5-Dimethoxy-2-[[(1S)-1,2,3,4-tetrahydro-6,7-dimethoxy-2-methyl-1-isoquinolinyl]methyl]phenoxy]-5,6,6a,7-tetrahydro-1,2,10-trimethoxy-6-methyl-4H-dibenzo[de,g]quinoline
Molecular Formula: C41H48N2O8
Molecular Weight: 696.83
Percent Composition: C 70.67%, H 6.94%, N 4.02%, O 18.37%
Literature References: Tumor-inhibitory alkaloid from Thalictrum dasycarpum Fisch. & Lall., Ranunculaceae: Kupchan et al., J. Pharm. Sci. 52, 985 (1963). Structure: Kupchan, Yokoyama, J. Am. Chem. Soc. 86, 2177 (1964); Tomita et al., Tetrahedron Lett. 1965, 4309. Total synthesis: Kupchan, Liepa, Chem. Commun. 1971, 599; Kupchan et al., J. Am. Chem. Soc. 95, 2995 (1973). Pharmacology: Herman, Chadwick, Toxicol. Appl. Pharmacol. 26, 137 (1973); S. M. Sieber et al., Cancer Treat. Rep. 60, 1127 (1976). Antimicrobial and hypotensive activity: W. N. Wu et al., Lloydia 40, 508 (1977). Biosynthesis: D. S. Bhakuni, S. Jain, Tetrahedron 38, 729 (1982).
Properties: Needles from ethyl acetate, mp 160-161°. [a]D25 +133° (c = 0.83 in methanol); [a]D25 +89° (c = 0.88 in chloroform). uv max (methanol): 282, 302 nm (e 17,000, 13,000).
Melting point: mp 160-161°
Optical Rotation: [a]D25 +133° (c = 0.83 in methanol); [a]D25 +89° (c = 0.88 in chloroform)
Absorption maximum: uv max (methanol): 282, 302 nm (e 17,000, 13,000)

Other Monographs:
Wilkinson's CatalystChloroprocaine HydrochlorideSesaminTamoxifen
FluazacortPhenylurethan(e)VodkaCassella's Acid F
Ammonium SelenateOkadaic Acid5'-Uridylic AcidFencamine
Pyruvic Acidsym-Dichloroethyl EtherCisaprideLithium Carbonate
©2006-2023 DrugFuture->Chemical Index Database