Technetium 99mTc Sestamibi
Structural Formula Vector Image
Title: Technetium 99mTc Sestamibi
CAS Registry Number: 109581-73-9
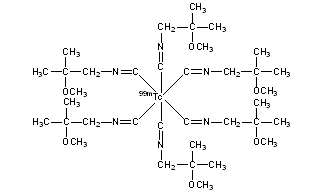
CAS Name: (OC-6-11)-Hexakis(1-isocyano-2-methoxy-2-methylpropane)technetium(1+)-99mTc
Additional Names: hexakis(2-methoxy-2-methylpropyl isocyanide)[99mTc] technetium(1+); 99MTc hexakis(2-methoxyisobutylisonitrile); 99mTc-HEXAMIBI; 99mTc-MIBI
Manufacturers' Codes: 99mTc-RP-30A
Trademarks: Cardiolite (DuPont)
Molecular Formula: C36H66N6O699mTc
Literature References: Lipophilic, cationic isonitrile compound complexed with technetium; radioactive myocardial perfusion imaging agent. Prepn: P. L. Bergstein, N. Subramanyam, EP 233368 (1987 to Du Pont); P. Angelberger, E. Zbiral, Oesterr. Forschungszent. Seibersdorf 4411, I (1987). Preparative TLC purification: A. Proulx et al., Appl. Radiat. Isot. 40, 95 (1989). Biodistribution and comparative clinical evaluation as myocardial perfusion imaging agent: F. J. Th. Wackers et al., J. Nucl. Med. 30, 301 (1989). Clinical evaluation as parathyroid imaging agent: A. J. Coakley et al., Nucl. Med. Commun. 10, 791 (1989). Symposium on pharmacology and clinical studies: Am. J. Cardiol. 66, 1E-96E (1990). Review of cardiac imaging: J. A. Leppo et al., J. Nucl. Med. 32, 2012-2022 (1991).
Therap-Cat: Diagnostic aid (radioactive imaging agent).
Keywords: Diagnostic Aid (Radioactive Imaging Agent).

Other Monographs:
DipiproverineIsoxsuprineFlumethasoneThyroxine
Chromic CarbonateOlsalazineSebacic AcidTrigonellamide Chloride
Poison IvyEthanearsonic AcidPicrorhiza1,3-Dichloro-5,5-dimethylhydantoin
Manganese SesquioxideTetracaine HydrochlorideAmmonium NitroferricyanideBoscalid
©2006-2023 DrugFuture->Chemical Index Database