Sesamex
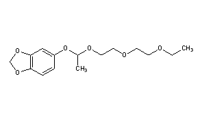
Structural Formula Vector Image
Title: Sesamex
CAS Registry Number: 51-14-9
CAS Name: 5-[1-[2-(2-Ethoxyethoxy)ethoxy]ethoxy]-1,3-benzodioxole
Additional Names: acetaldehyde 2-(2-ethoxyethoxy)ethyl 3,4-(methylenedioxy)phenyl acetal; 2-(3,4-methylenedioxyphenoxy)-3,6,9-trioxaundecane
Trademarks: Sesoxane (Shulton)
Molecular Formula: C15H22O6
Molecular Weight: 298.33
Percent Composition: C 60.39%, H 7.43%, O 32.18%
Literature References: Prepn: M. Beroza, US 2832792 (1958 to U.S. Secy. Agr.). Use as a synergist: S. A. El-Aziz et al., J. Econ. Entomol. 62, 318 (1969); H. T. Gordon, L. T. Jao, ibid. 64, 546 (1971).
Properties: Straw-colored liquid, bp0.08 137-141°. Sol in kerosene, Freon 11, Freon 12; other organic solvents. n25D 1.4938.
Boiling point: bp0.08 137-141°
Index of refraction: n25D 1.4938
Use: Insecticide, especially as synergist for pyrethrins, allethrin, methoxychlor.
 
 
Status: This monograph has been retired and is no longer subject to revision or update.

Other Monographs:
Sodium PropionateConjugated EstrogensPartheninPamiteplase
D-RibuloseFerric HydroxideCarfentrazone-ethylPhenylacetone
Ammonium BimalateOxophenylarsine2,6-Naphthalenedisulfonic AcidBactericidal Permeability-Increasing Protein
CoumaranNitrinEntacaponeSenegenin
©2006-2023 DrugFuture->Chemical Index Database