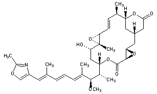
Rhizoxin
Structural Formula Vector Image
Title: Rhizoxin
CAS Registry Number: 90996-54-6
Manufacturers' Codes: WF-1360; NSC-332598
Molecular Formula: C35H47NO9
Molecular Weight: 625.75
Percent Composition: C 67.18%, H 7.57%, N 2.24%, O 23.01%
Literature References: Rice seedling blight pathogen; phytotoxin which inhibits tubulin polymerization. Isoln from Rhizopus chinensis: S. Iwasaki et al., J. Antibiot. 37, 354 (1984). Absolute configuration: eidem, ibid. 39, 424 (1986). Antitumor activity in comparison with vincristine, q.v.: T. Tsuruo et al., Cancer Res. 46, 381 (1986). Mechanism of action: M. Takahashi et al., Biochim. Biophys. Acta 926, 215 (1987); Y. Li et al., Biochem. Biophys. Res. Commun. 187, 722 (1992). Angiogenesis inhibition: K. Aoki et al., Eur. J. Pharmacol. 459, 131 (2003). Clinical pharmacology: A. W. Tolcher et al., Ann. Oncol. 11, 333 (2000). Review of chemistry and biology: J. Hong, J. D. White, Tetrahedron 60, 5653-5681 (2004).
Properties: Pale yellow powder, mp 131-135°. [a]D24 +155.5° (c = 0.8 in methanol). uv max (methanol): 295, 308, 325 nm (e 42300, 54000, 39000).
Melting point: mp 131-135°
Optical Rotation: [a]D24 +155.5° (c = 0.8 in methanol)
Absorption maximum: uv max (methanol): 295, 308, 325 nm (e 42300, 54000, 39000)

Other Monographs:
2,3-Dimercapto-1-propanesulfonic AcidNudic AcidsUracilNidroxyzone
Homovanillic AcidKefir FungiPyrazinamideSulfuric Acid
KosinsLaidlomycinn-Butyl CarbonateCysteamine
Sodium TetraphenylboratePenicillin G BenzhydrylamineFormamideTarragon
©2006-2023 DrugFuture->Chemical Index Database