Raffinose
Structural Formula Vector Image
Title: Raffinose
CAS Registry Number: 512-69-6
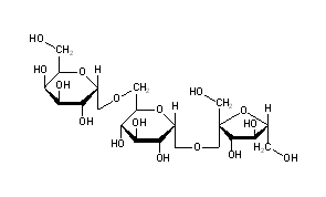
CAS Name: b-D-Fructofuranosyl-O-a-D-galactopyranosyl-(1®6)-a-D-glucopyranoside
Additional Names: gossypose; melitose; melitriose
Molecular Formula: C18H32O16
Molecular Weight: 504.44
Percent Composition: C 42.86%, H 6.39%, O 50.75%
Literature References: A trisaccharide built from 1 mol each of D-galactose, D-glucose, and D-fructose which are obtained from it by acid hydrolysis. Invertase splits it into melibiose and saccharose. Occurs in Australian manna (from Eucalyptus spp, Myrtaceae); in cottonseed meal. Prepn: C. S. Hudson, T. S. Harding, J. Am. Chem. Soc. 36, 2110 (1914); E. P. Clark, ibid. 44, 210 (1922); Harding, Sugar 25, 82 (1923); Hungerford, Nees, Ind. Eng. Chem. 26, 462 (1934). Configuration: Haworth et al., J. Chem. Soc. 1923, 3125; Charlton et al.; Haworth et al., ibid. 1927, 1527, 3146. Structure: Hassid, Ballou in W. Pigman, The Carbohydrates (Academic Press, New York, 1957) p 517. Synthesis: Suami et al., Carbohydr. Res. 26, 234 (1973). Review: E. B. Rathbone, Dev. Food Carbohydr. 2, 145-185 (1980).
 
Derivative Type: Pentahydrate
Properties: Crystals in clusters from dil alc. Indifferent taste. d 1.465. mp 80°. Loses water of crystn upon slow heating to 100°. The anhydrous form dec 118-119°. [a]D20 +105.2° (c = 4). One gram dissolves in 7 ml water (soly table: Hungerford, Nees), in 10 ml methanol. Sol in pyridine, slightly sol in alc. Does not form an osazone and does not reduce Fehling's soln.
Melting point: mp 80°
Optical Rotation: [a]D20 +105.2° (c = 4)
Density: d 1.465

Other Monographs:
Cryptophycinsp-tert-Pentylphenolp-Nitrophenylacetic AcidChonemorphine
Pfeiffer's SubstanceAluminum Cesium SulfateSanguinariaSelenocysteine
Potassium Hexafluorozirconate(IV)Calcium OleateStrontium IodideVermiculite
Benzalkonium ChlorideAlmitrineChromium(VI) OxideGlyoxylic Acid
©2006-2023 DrugFuture->Chemical Index Database