Plaunotol
Structural Formula Vector Image
Title: Plaunotol
CAS Registry Number: 64218-02-6
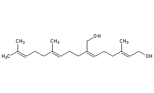
CAS Name: (2Z,6E)-2-[(3E)-4,8-Dimethyl-3,7-nonadienyl]-6-methyl-2,6-octadiene-1,8-diol
Additional Names: (E,Z,E)-7-hydroxymethyl-3,11,15-trimethyl-2,6,10,14-hexadecatetraen-1-ol
Manufacturers' Codes: CS-684
Trademarks: Kelnac (Sankyo)
Molecular Formula: C20H34O2
Molecular Weight: 306.48
Percent Composition: C 78.38%, H 11.18%, O 10.44%
Literature References: Acyclic diterpene alcohol isolated from a Thai medicinal plant identified as Croton sublyratus Kurz, Euphorbiaceae. Isoln, synthesis and anti-ulcer activity: H. Mishima et al., JP Kokai 77 62213; eidem, US 4059641 (both 1977 to Sankyo); A. Ogiso et al., Chem. Pharm. Bull. 26, 3117 (1978). Pharmacology: S. Kobayashi et al., Oyo Yakuri 24, 599 (1982).
Properties: Light yellow oil. Aromatic odor, bitter taste. Sol in benzene, acetone, alcohols, ethers. Insol in water. LD50 in male, female mice, rats (ml/kg): 8800, 8100, 10900, 11200 orally (Kobayashi).
Toxicity data: LD50 in male, female mice, rats (ml/kg): 8800, 8100, 10900, 11200 orally (Kobayashi)
Therap-Cat: Antiulcerative.
Keywords: Antiulcerative; Cytoprotectant (Gastric).

Other Monographs:
SertaconazolePioglitazonePotassium Thioantimonate(V)4-Nitro-o-phenylenediamine
NoracymethadolIsoamyl IodideIsatropic AcidAluminum Acetotartrate
CarbimazoleThiosinamineAmmonium NitrateProstaglandin(s)
Hexadimethrine BromideSpectinomycinFluorine MonoxideTelomycin
©2006-2023 DrugFuture->Chemical Index Database