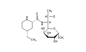
Pirlimycin
Structural Formula Vector Image
Title: Pirlimycin
CAS Registry Number: 79548-73-5
CAS Name: (2S-cis)-Methyl 7-chloro-6,7,8-trideoxy-6-[[(4-ethyl-2-piperidinyl)carbonyl]amino]-1-thio-L-threo-a-D-galactooctopyranoside
Molecular Formula: C17H31ClN2O5S
Molecular Weight: 410.96
Percent Composition: C 49.68%, H 7.60%, Cl 8.63%, N 6.82%, O 19.47%, S 7.80%
Literature References: Semi-synthetic lincosaminide antibiotic; structural analog of clindamycin, q.v. Prepn: R. D. Birkenmeyer, DE 3043502; idem, US 4278789 (both 1981 to Upjohn); R. D. Birkenmeyer et al., J. Med. Chem. 27, 216 (1984). In vitro activity vs aerobic bacteria: V. I. Ahonkhai et al., Antimicrob. Agents Chemother. 21, 902 (1982); vs anaerobic bacteria: S. M. H. Qadri et al., J. Antibiot. 36, 42 (1983). HPLC determn in biological fluids: J. A. Shah, D. J. Weber, J. Chromatogr. 309, 95 (1984). Ion-pairing LC determn in pharmaceutic prepns: D. L. Theis, ibid. 402, 335 (1987). Metabolism and residue studies in dairy cows: R. E. Hornish et al., ACS Symp. Ser. 503, 132-147 (1992). Evaluation in bovine mastitis: W. E. Owens et al., Agri-Pract. 15, 19 (1994).
 
Derivative Type: Hydrochloride
CAS Registry Number: 78822-40-9
Manufacturers' Codes: U-57903E
Trademarks: Pirsue (Pfizer)
Properties: Crystals from water, mp 222-224°. [a]D25 +176° (US 4278789). Also reported as mp 210-212°. [a]D25 +181°. LD50 i.p. in mice: 600 mg/kg (Birkenmeyer, 1984).
Melting point: mp 222-224°; mp 210-212°
Optical Rotation: [a]D25 +176° (US 4278789); [a]D25 +181°
Toxicity data: LD50 i.p. in mice: 600 mg/kg (Birkenmeyer, 1984)
 
Therap-Cat-Vet: Antibacterial.

Other Monographs:
Diisobutyl Sodium SulfosuccinateLasiocarpineN-Methyl-N'-nitro-N-nitrosoguanidineCloflucarban
5-Nitrosalicylic AcidOctopamineOxaprozinMuscalure
Gold MonoiodideLansoprazoleDibenzyl DisulfideHamamelitannin
Succinylcholine BromideZinc CitrateCethromycinFormothion
©2006-2023 DrugFuture->Chemical Index Database