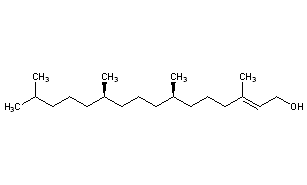
Phytol
Structural Formula Vector Image
Title: Phytol
CAS Registry Number: 150-86-7
CAS Name: (2E,7R,11R)-3,7,11,15-Tetramethyl-2-hexadecen-1-ol
Additional Names: 2,6,10,14-tetramethylhexadec-14-en-16-ol
Molecular Formula: C20H40O
Molecular Weight: 296.53
Percent Composition: C 81.01%, H 13.60%, O 5.40%
Literature References: Decompn product of chlorophyll: Willstätter, Ann. 354, 205 (1907); 371, 1 (1909); 378, 1, 73 (1911); 418, 121 (1918). Synthesis: Fischer, Löwenberg, Ann. 475, 183 (1929); Karrer, Ringier, Helv. Chim. Acta 22, 610 (1939); Karrer et al., ibid. 26, 1741 (1943); from ethyl levulinate: Lukes, Zobacova, Chem. Listy 51, 330 (1957); from acetone: Sato et al., J. Org. Chem. 32, 177 (1967). Stereochemistry: Burrell et al., Proc. Chem. Soc. London 1959, 263. Abs config: Crabbe et al., ibid. 1959, 264. Stereochemistry and synthesis: Burrell et al., J. Chem. Soc. C 1966, 2144. Stereoselective total synthesis of natural phytol: T. Fujisawa et al., Tetrahedron Lett. 22, 4823 (1981); M. Schmid et al., Helv. Chim. Acta 65, 684 (1982). Review: J. Simonsen, D. H. R. Barton, The Terpenes vol. III (Cambridge University Press, Cambridge, 1952) pp 345-349.
Properties: Oily liquid. d425 0.8497. nD25 1.4595. bp10 203-204°; bp0.03 145°. uv max (abs alcohol): 212 nm (log e 3.04), Bader, Helv. Chim. Acta 34, 1632 (1951). Practically insol in water; sol in the usual organic solvents.
Boiling point: bp10 203-204°; bp0.03 145°
Index of refraction: nD25 1.4595
Absorption maximum: uv max (abs alcohol): 212 nm (log e 3.04), Bader, Helv. Chim. Acta 34, 1632 (1951)
Density: d425 0.8497
Use: Preparation of vitamins E and K1.

Other Monographs:
4'-(Methylsulfamoyl)sulfanilanilideCiclosidomineOntianilNidroxyzone
DinobutonEpothilonesPerimycinPyridinium Bromide Perbromide
GoldYtterbium TriflateIsorubijervineMethylenedigallic Acid
ErgocryptinineHexafluorobenzeneGalantamineSarin
©2006-2023 DrugFuture->Chemical Index Database