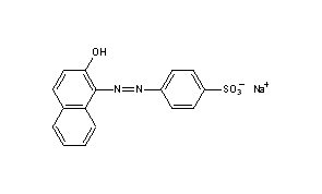
Orange II
Structural Formula Vector Image
Title: Orange II
CAS Registry Number: 633-96-5
CAS Name: 4-[(2-Hydroxy-1-naphthalenyl)azo]benzenesulfonic acid monosodium salt
Additional Names: C.I. Acid Orange 7; b-naphthol orange; D & C Orange No. 4; C.I. 15510
Trademarks: Mandarin G; Tropaeolin OOO no. 2
Molecular Formula: C16H11N2NaO4S
Molecular Weight: 350.32
Percent Composition: C 54.86%, H 3.16%, N 8.00%, Na 6.56%, O 18.27%, S 9.15%
Literature References: Anionic azo dye. Prepd by coupling b-naphthol, q.v., with diazotized sulfanilic acid, q.v., in alkaline soln, cf. Org. Synth. coll. vol. II, 36 (1943); Colour Index vol. 4 (3rd ed., 1971) p 4078. Review: H. J. Conn's Biological Stains, R. D. Lillie, Ed. (Williams & Wilkins, Baltimore, 9th ed., 1977) pp 112-113, 573.
Properties: Orange-brown powder. Indicator color transitions: amber to orange pH 7.4-8.6; orange to red pH 10.2-11.8. Soly (mg/ml): water 130 mg/ml; ethanol 4 mg/ml. Absorption max (water): 483 nm.
Absorption maximum: Absorption max (water): 483 nm
 
Derivative Type: Pentahydrate
Properties: Orange needles from water. One gram dissolves in 20 ml water. Sol in alc. Absorption max 484.4 nm.
Absorption maximum: Absorption max 484.4 nm
 
Use: Dye; biological stain; external colorant. Limited use as an indicator.

Other Monographs:
N-(p-Methoxyphenyl)-p-phenylenediamineHellebrinTamarind2,3-Dibromosuccinic Acid
MetoserpatePropionic AcidCalcium Glycerophosphate1-Naphthaleneacetic Acid
Cynarin(e)Cinepazet8-Hydroxy-7-iodo-5-quinolinesulfonic AcidRoccellic Acid
Phenylmercury BorateTriethylenethiophosphoramideEquilinTris(trimethylsilyl)silane
©2006-2023 DrugFuture->Chemical Index Database