Mepact
Structural Formula Vector Image
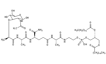
Title: Mepact
CAS Registry Number: 83461-56-7
CAS Name: N-(N-Acetylmuramoyl)-L-alanyl-D-a-glutaminyl-N-[(7R)-4-hydroxy-4-oxido-10-oxo-7-[(1-oxohexadecyl)oxy]-3,5,9-trioxa-4-phosphapentacos-1-yl]-L-alaninamide
Additional Names: N-acetylmuramyl-L-alanyl-D-isoglutaminyl-L-alanine-2-(1¢,2¢-dipalmitoyl-sn-glycero-3¢-hydroxyphosphoryloxy)ethylamide; muramyl tripeptide phosphatidylethanolamine; MTP-cephalin; MTP-PE
Manufacturers' Codes: CGP-19835
Molecular Formula: C59H109N6O19P
Molecular Weight: 1237.50
Percent Composition: C 57.26%, H 8.88%, N 6.79%, O 24.56%, P 2.50%
Literature References: Synthetic, lipophilic analog of muramyl dipeptide, q.v. Immunostimulant promoting cancer cell destruction via in vivo macrophage activation. Prepn: L. Tarcsay et al., EP 25495; eidem, US 4406890 (1981, 1983 both to Ciba-Geigy). Synthesis of labeled form: D. E. Brundish, R. Wade, J. Labelled Compd. Radiopharm. 22, 29 (1985). Liposomal encapsulation: R. Natar et al., Methods Enzymol. 132, 594 (1986). Activation of tumoricidal properties in monocytes: E. S. Kleinerman et al., Cancer Res. 43, 2010 (1983). Potentiation of antitumor immunity: I. J. Fidler et al., J. Immunol. 138, 4509 (1987). Immunoassay in plasma: B. Gay et al., J. Biolumin. Chemilumin. 6, 73 (1991). Comparative pharmacokinetics of free and liposomal forms: B. Gay et al., J. Pharm. Sci. 82, 997 (1993). Mechanism of action study: T. Asano et al., J. Pharmacol. Exp. Ther. 268, 1032 (1994). Clinical study as chemotherapy adjuvant: P. A. Meyers et al., J. Clin. Oncol. 23, 2004 (2005). Review of phamacology and clinical studies as immune adjuvant in osteosarcoma: E. S. Kleinerman, Hematol. Oncol. Clinics North Am. 9, 927-938 (1995); A. Nardin et al., Curr. Cancer Drug Targets 6 123-133 (2006).
 
Derivative Type: Sodium salt
CAS Registry Number: 90825-43-7
Manufacturers' Codes: CGP-19835A
Trademarks: Junovan ( IDM)
Molecular Formula: C59H108N6NaO19P
Molecular Weight: 1259.48
Percent Composition: C 56.26%, H 8.64%, N 6.67%, Na 1.83%, O 24.14%, P 2.46%
 
Therap-Cat: Antineoplastic (immunomodulator).
Keywords: Antineoplastic; Immunomodulators.

Other Monographs:
MalathionBone Morphogenetic ProteinsPhosphorus SulfochlorideNeurotrophins
LinarinSyringaldehydeMeparfynolDimethylmercury
JavanicinAzoxystrobinα-Erythroidine3-Aminopropionitrile
Ethyl Menthane CarboxamidePhenolphthalein SodiumAmmonium Magnesium ChlorideConiferyl Alcohol
©2006-2023 DrugFuture->Chemical Index Database