Kitol
Structural Formula Vector Image
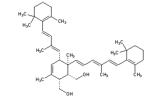
Title: Kitol
CAS Registry Number: 4626-00-0
CAS Name: [1a,2a,5a(1E,3E),6b(1E,3E,5E)]-3,6-Dimethyl-5-[2-methyl-4-(2,6,6-trimethyl-1-cyclohexen-1-yl)-1,3-butadienyl]-6-[4-methyl-6-(2,6,6-trimethyl-1-cyclohexen-1-yl)-1,3,5-hexatrienyl]-3-cyclohexene-1,2-dimethanol
Molecular Formula: C40H60O2
Molecular Weight: 572.90
Percent Composition: C 83.86%, H 10.56%, O 5.59%
Literature References: One of the provitamins A. Obtained from mammalian liver oil: Embree, Shantz, J. Am. Chem. Soc. 65, 910 (1943); Clough et al., Science 105, 436 (1947); Barua, Morton, Biochem. J. 45, 309 (1949); Chatan, Fridenson, Compt. Rend. 234, 1094 (1952). Purification: Tawara, Fukazawa, C.A. 47, 12483e (1953). Conversion to vitamin A: Libermann, Grundland, Compt. Rend. 224, 1033 (1947). Structure: Burger et al., Chem. Commun. 1965, 588; Giannotti et al., ibid. 1966, 28; Giannotti et al., Bull. Soc. Chim. Fr. 1966, 3299; Burger, Garbers, J. Chem. Soc. Perkin Trans. 1 1973, 590.
Properties: Crystals from methanol, mp 88-90° (Embree); 98-100° (Chatan); 72° (Tawara). [a]D -2.6° (c = 1.1 in chloroform). Labile in light, air, petr ether. Kitol has no vitamin A activity. uv max: 290 nm (E1%1cm 586).
Melting point: mp 88-90° (Embree); 98-100° (Chatan); 72° (Tawara)
Optical Rotation: [a]D -2.6° (c = 1.1 in chloroform)
Absorption maximum: uv max: 290 nm (E1%1cm 586)
 
Derivative Type: Diphenylazobenzoate
Properties: Exists in two forms, probably geometric isomers, one mp 125-126°, the other 153-155°.
Melting point: mp 125-126°, the other 153-155°

Other Monographs:
AmidosulfuronLandiololPenciclovirEpiandrosterone
p-tert-PentylphenolIndigo CarmineProcymidonePole Reagent Paper
TrinitromethaneNitrogen FluorideHydroxymercurichlorophenolsHydrogen Cyanide
PrimidoneFormaldehyde Sodium BisulfiteTriclabendazoleDechlorane® Plus
©2006-2023 DrugFuture->Chemical Index Database